题目内容
如图所示,“神舟”飞船升空后,进入近地点为 B,远地点为 A 的椭圆轨道 I 上飞行.飞行数圈后变轨.在过远地点 A 的圆轨道Ⅱ上做匀速圆周运动.飞船由椭圆轨道运行变轨到圆形轨道运行后周期 (变短、不变或变长),机械能 (增加、减少或不变).
【答案】分析:飞船在椭圆轨道运行时轨道的半长轴比在圆形轨道上的半径要小,所以周期也小;从椭圆轨道达到圆轨道,需要再次点火加速.
解答:解:飞船在椭圆轨道运行时轨道的半长轴比在圆形轨道上的半径(相等于半长轴)要小,根据开普勒第三定律:
,所以半径小的周期也小;
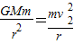
飞船在A点时,它的向心力由万有引力提供.在椭圆轨道上经过A点时飞船做向心运动,所以万有引力提供的向心力大于需要的向心力,即:
飞船在大的圆轨道上运动时,万有引力提供的向心力等于需要的向心力,即:
,所以v2>v1,所以飞船变轨道后的速度变大,动能变大,机械能就变大.
故答案为:变长;增加.
点评:人造卫星的轨道越大,周期越长,需要的能量也越大.
解答:解:飞船在椭圆轨道运行时轨道的半长轴比在圆形轨道上的半径(相等于半长轴)要小,根据开普勒第三定律:
飞船在A点时,它的向心力由万有引力提供.在椭圆轨道上经过A点时飞船做向心运动,所以万有引力提供的向心力大于需要的向心力,即:
飞船在大的圆轨道上运动时,万有引力提供的向心力等于需要的向心力,即:
故答案为:变长;增加.
点评:人造卫星的轨道越大,周期越长,需要的能量也越大.
练习册系列答案
相关题目