题目内容

如图所示,虚线所围区域内有方向垂直纸面向里的匀强磁场,磁感应强度为B.一束电子沿圆形区域的直径方向以速度v射入磁场,电子束经过磁场区后,其运动的方向与原入射方向成角.设电子质量为m,电荷量为e,不计电子之间的相互作用力及所受的重力.求:

(1)

电子在磁场中运动轨迹的半径R;

(2)

电子在磁场中运动的时间t;

(3)

圆形磁场区域的半径r.

答案:
解析:

(1)

由牛顿第二不定期律和洛沦兹力公式得 ……………………(2分)

解得…………………………(1分)

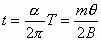
(2)

设电子做匀速圆周运动的周期为T,则…………………………(1分)

由如图所示的几何关系得圆心角………………(1分)

所以…………………………(1分)

(3)

由如图所示几何关系可知,………………(1分)

所以…………………………(1分)


练习册系列答案
相关题目

违法和不良信息举报电话:027-86699610 举报邮箱:58377363@163.com

精英家教网