题目内容
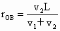
两个小球固定在一根长为L的杆的两端,并且绕杆上的O点做圆周运动,如图所示.当小球A的速度为
时,小球B的速度为
,问转轴O到小球B的距离是多少?
![]()
答案:略
解析:
解析:
|
A 、B两球在同一转轴的杆上, |
练习册系列答案
相关题目
题目内容
两个小球固定在一根长为L的杆的两端,并且绕杆上的O点做圆周运动,如图所示.当小球A的速度为
时,小球B的速度为
,问转轴O到小球B的距离是多少?
![]()
|
A 、B两球在同一转轴的杆上, |