题目内容
我国研制的“嫦娥一号”飞船,已经在2007年10月24日18时05分成功发射,设“嫦娥一号”在距离月球表面高h处绕月球做匀速圆周运动,已知月球半径为R,月球表面的重力加速度为g,则“嫦娥一号”环绕月球运行的周期为( )A.
B.
C.
D.
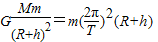
【答案】分析:嫦娥一号绕月球做匀速圆周运动,根据万有引力提供向心力
,
在月球表面的物体受的重力等于万有引力
,
由以上二式联立方程组即可解出T.
解答:解:“嫦娥一号”绕月球做匀速圆周运动,根据万有引力提供向心力

解得:
在月球表面的物体受的重力等于万有引力
,得GM=R2g
代入上式得
=
故D正确.
故选D.
点评:有关天体运动的问题一定要知道两个关系:星球表面的物体受到的重力等于万有引力;环绕天体绕中心天体做圆周运动所需要的向心力由万有引力提供.
在月球表面的物体受的重力等于万有引力
由以上二式联立方程组即可解出T.
解答:解:“嫦娥一号”绕月球做匀速圆周运动,根据万有引力提供向心力
解得:
在月球表面的物体受的重力等于万有引力
代入上式得
故D正确.
故选D.
点评:有关天体运动的问题一定要知道两个关系:星球表面的物体受到的重力等于万有引力;环绕天体绕中心天体做圆周运动所需要的向心力由万有引力提供.
练习册系列答案
相关题目