题目内容
如图所示,巡查员站立于一空的贮液池边,检查池角处出液口的安全情况.已知池宽为L,照明灯到池底的距离为H.若保持照明光束方向不变,向贮液池中注入某种液体,当液面高为(1)试求当液面高为
(2)控制出液口缓慢地排出液体,使液面以v的速率匀速下降,试求池底的光斑移动的速率vx.
【答案】分析:(1)当光从空气射向水中时,根据几何关系从而确定入射角的正弦值与折射角的正弦值,从而由光的折射定律可算出水的折射率.当液面高度改变时,即入射点发生变化,但入射角与折射角均没有变化,所以通过几何关系可以确定池底的光斑到出液口的距离.
(2)液面匀速下降时,光斑也在匀速向左运动.所以由位移与速度的比值相等可列式,从而求出光斑的运动速度.
解答:
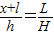
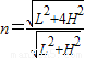
解:(1)由几何关系知:
由折射定律得:
代入
,
得:
由于
解得:
(2)液面匀速下降,光斑也匀速向左运动.
则有
,
整理得
.
点评:虽然液面高度变化,但由于入射角没变,则折射角也不变.于是可以根据几何关系来构建长度关系,从而求出所求结果.当液面高度匀速变化时,光斑也匀速变化,因此利用同时性,来列出等式,从而确定光斑运动的速度.
(2)液面匀速下降时,光斑也在匀速向左运动.所以由位移与速度的比值相等可列式,从而求出光斑的运动速度.
解答:
由折射定律得:
代入
得:
由于
解得:
(2)液面匀速下降,光斑也匀速向左运动.
则有
整理得
点评:虽然液面高度变化,但由于入射角没变,则折射角也不变.于是可以根据几何关系来构建长度关系,从而求出所求结果.当液面高度匀速变化时,光斑也匀速变化,因此利用同时性,来列出等式,从而确定光斑运动的速度.
练习册系列答案
相关题目