题目内容

天空有近似等高的浓云层.为了测量云层的高度,在水平地面上与观测者的距离为d=3.0 km处进行一次爆炸,观测者听到由空气直接传来的爆炸声和由云层反射来的爆炸声时间上相差Δt=6.0 s.试估算云层下表面的高度.已知空气中的声速vkm/s.

答案:
解析:

  [答案]h=2.0×103 m

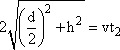
  [解析]如图,A表示爆炸处,O表示观测者所在处,h表示云层下表面的高度,用t1表示爆炸声直接传到O处所经时间,则有dvt1 ①

  用t2表示爆炸声经云层反射到达O处所在经时间,因为入射角等于反射角,故有

   ②

  已知t2-t1=Δt ③

  联立①、②、③,可得

   ④

  代入数值得h=2.0×103 m ⑤

  [名师指引]考点:匀速运动规律及要用.高考常用超声波、声波、光、无线电波等测量距离,求解时画出示意图能快速确定求解思路.


练习册系列答案
相关题目

违法和不良信息举报电话:027-86699610 举报邮箱:58377363@163.com

精英家教网