题目内容

如图甲所示,建立x0y坐标系,两平行极板P、Q垂直于y轴且关于x轴对称,极板长度和板间距均为L,第Ⅰ、Ⅳ象限分布着匀强磁场,方向垂直于x0y平面向里。位于极板左侧的粒子源可沿x轴向右发射质量为m、电量为q、速度相同、重力不计的带正电粒子。在0~3t0时间内两极板所加电压如图乙所示。已知,若粒子在t=0时刻射入,将恰好在t0时刻经极板边缘射入磁场。上述m、q、L、t0为已知量,且忽略粒子间的相互影响。求:

(1)电压U0的大小;

(2)匀强磁场的磁感应强度B;

(3)0~3t0时间内何时射入的粒子在磁场中运动的时间最短,并求出此最短时间。

 

【答案】

(1)(2)(3)

【解析】

试题分析:(1)根据t=0时刻进入两板间的带电粒子恰好在t0时刻经极板边缘射出,则解得

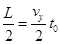
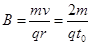
(2)水平方向,竖直方向;解得  则

所以速度偏转角为

由几何关系可知 ,

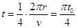
(3)时刻进入两板间的带电粒子(运动轨迹如图)在磁场中的运动时间最短。

     

考点:此题考查带电粒子在电场中的偏转和在磁场中的圆周运动。

 

练习册系列答案
相关题目

违法和不良信息举报电话:027-86699610 举报邮箱:58377363@163.com

精英家教网