题目内容
近几年,我国北方地区多次遭遇沙尘暴天气.现把沙尘上扬后的情况简化为如下情境:v为竖直向上的风速,沙尘颗粒被扬起后悬浮在空中(不动),这时风对沙尘的作用力相当于空气不动而沙尘以速度v向下时所受的阻力,此阻力可表示为:f=aρAv2,其中a为一系数,A为沙尘颗粒截面积,ρ为空气密度.计算结果取两位有效数字.(1)若沙粒的密度ρs=2.8×103㎏/m3,沙尘颗粒为球形,半径r=2.5×10-4m,地球表面处空气密度ρ=1.25㎏/m3,a=0.45,试估算在地面附近沙尘扬起的v值.
(2)假定空气密度ρ随高度h的变化关系为ρ=ρ(1-Ch),其中ρ为h=0处的空气密度,C为一常数,C=1.2×10-4/m-1,试估算当v=9.0m/s时扬尘的最大高度.(不考虑重力加速度随高度的变化,g取10m/s2)
【答案】分析:(1)在地面附近,沙尘扬起要能悬浮在空中,则空气阻力至少应与重力平衡.应用平衡条件列式即可.
(2)设出最大高度h,表示出此处空气密度,再由平衡条件列式计算即可.
解答:解:(1)在地面附近,沙尘扬起要能悬浮在空中,则空气阻力至少应与重力平衡.即:
…①
式中A=πr2 …②
m=
…③
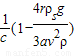
由①②③式得:
,代入数据得:
v1≈4.0m/s
(2)设最大高度h,此处空气密度ρh,则:ρh=ρ(1-ch)…④
又:
=mg…⑤
由②③④⑤式可解得:
h=
,代入数据得:
h≈6.7×103m
答:(1)地面附近沙尘扬起的v值为:4.0m/s
(2)当v=9.0m/s时扬尘的最大高度为:6.7×103m
点评:本题为一个理论联系实际的题目,核心是平衡条件的应用,但关键是怎样把题目中的情景与学习的理论知识联系在一起.
(2)设出最大高度h,表示出此处空气密度,再由平衡条件列式计算即可.
解答:解:(1)在地面附近,沙尘扬起要能悬浮在空中,则空气阻力至少应与重力平衡.即:
式中A=πr2 …②
m=
由①②③式得:
v1≈4.0m/s
(2)设最大高度h,此处空气密度ρh,则:ρh=ρ(1-ch)…④
又:
由②③④⑤式可解得:
h=
h≈6.7×103m
答:(1)地面附近沙尘扬起的v值为:4.0m/s
(2)当v=9.0m/s时扬尘的最大高度为:6.7×103m
点评:本题为一个理论联系实际的题目,核心是平衡条件的应用,但关键是怎样把题目中的情景与学习的理论知识联系在一起.
练习册系列答案
相关题目