题目内容
某实验小组在进行“用单摆测定重力加速度”的实验中,已知单摆在摆动过程中的摆角小于10°;在测量单摆的周期时,从单摆运动到最低点开始计时且记数为1,到第n次经过最低点所用的时间内为t;在测量单摆的摆长时,用毫米刻度尺测得悬挂后的摆长(从悬点到摆球的球心)为l.(1)该单摆在摆动过程中的周期为 .
(2)用上述物理量的符号写出求重力加速度的一般表达式g= .
【答案】分析:(1)知道周期为一次全振动的时间,从单摆运动到最低点开始计时且记数为1,所以在t时间内完成了n-1个全振动;
(2)由单摆的周期公式T=
即可求解;
解答:解:(1)周期为一次全振动的时间,从单摆运动到最低点开始计时且记数为1,所以在t时间内完成了n-1个全振动,所以T=
;
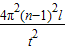
(2)根据周期公式得:T=
,所以g=
=
点评:本题要注意开始计时时n=1,所以t时间内共有n-1个周期.
(2)由单摆的周期公式T=
解答:解:(1)周期为一次全振动的时间,从单摆运动到最低点开始计时且记数为1,所以在t时间内完成了n-1个全振动,所以T=
(2)根据周期公式得:T=
点评:本题要注意开始计时时n=1,所以t时间内共有n-1个周期.
练习册系列答案
相关题目