题目内容
如图所示,木板静止于水平面上,一质量m=5kg的木块(看作质点)从木板左端以水平速度v=3m/s滑上木板,木板不动,木块向右做加速度大小a=4m/s2匀减速直线运动,木块到木板右端时速度v=1m/s,已知木块与木板间的动摩擦因数μ=0.2,g=10m/s2,求:(1)木板对木块的摩擦力.
(2)木块在木板上运动的时间.
(3)木板的长度.
【答案】分析:(1)根据滑动摩擦力的公式f=μFN求出木板对木块的摩擦力.
(2)根据匀变速直线运动的速度时间公式求出木块在木板上运动的时间.
(3)根据匀变速直线运动的速度位移公式求出木块的位移,即木板的长度.
解答:解:(1)木块所受的滑动摩擦力f=μFN=0.2×50N=10N.
(2)根据v=v+at得,t=
.
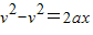
(3)根据
得,
x=
答:(1)木板对木块的摩擦力为10N.
(2)木块在木板上运动的时间为0.5s.
(3)木板的长度为1m.
点评:解决本题的关键掌握匀变速直线运动的速度时间公式和速度位移公式,并能灵活运用.
(2)根据匀变速直线运动的速度时间公式求出木块在木板上运动的时间.
(3)根据匀变速直线运动的速度位移公式求出木块的位移,即木板的长度.
解答:解:(1)木块所受的滑动摩擦力f=μFN=0.2×50N=10N.
(2)根据v=v+at得,t=
(3)根据
x=
答:(1)木板对木块的摩擦力为10N.
(2)木块在木板上运动的时间为0.5s.
(3)木板的长度为1m.
点评:解决本题的关键掌握匀变速直线运动的速度时间公式和速度位移公式,并能灵活运用.
练习册系列答案
相关题目