题目内容

如图所示,一长为的木板,倾斜放置,倾角为45°,现有一弹性小球,从与木板上端等高的某处自由释放,小球落到木板上反弹时,速度大小不变,碰撞前后,速度方向与木板的夹角相等,欲使小球一次碰撞后恰好落到木板下端,则小球释放点距木板上端的水平距离为___________。

 

 

【答案】

【解析】

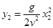
试题分析:小球第一段运动是自由落体运动,第二段运动是平抛运动,由图可知角θ=45°,则有x1=y1,x2=y2,斜面高度为L。在竖直方向,L=y1+y2,再根据平抛运动的轨迹方程有,根据自由落体运动有,结合这几式可得小球释放点距离木板上端的水平距离为

考点:本题考查自由落体运动、平抛运动的规律。

 

练习册系列答案
相关题目

违法和不良信息举报电话:027-86699610 举报邮箱:58377363@163.com

精英家教网