ÌâÄ¿ÄÚÈÝ
£¨1£©ÔÚÑо¿ÔȱäËÙÖ±ÏßÔ˶¯ÖУ¬ÎÒÃdz£Óõ½´òµã¼ÆÊ±Æ÷£¬ÏÂÁжԴòµã¼ÆÊ±Æ÷˵·¨ÕýÈ·µÄÊÇA£®ÔÚʹÓôòµã¼ÆÊ±Æ÷ʱ£¬´òµã¼ÆÊ±Æ÷½ÓÖ±Á÷ºÍ½»Á÷¶¼¿ÉÒÔ
B£®Í¨³£´òµã¼ÆÊ±Æ÷µÄ´òµãÖÜÆÚΪ0.02s
C£®Óôòµã¼ÆÊ±Æ÷´òµãʱ£¬ÏÈÊÍ·ÅÖ½´ø»òÏÈ´ò¿ª´òµã¼ÆÊ±Æ÷¶¼¿ÉÒÔ
D£®Óôòµã¼ÆÊ±Æ÷ʱ£¬±ØÐëÏÈ´ò¿ª´òµã¼ÆÊ±Æ÷£¬ÔÙÊÍ·ÅÖ½´ø
£¨2£©ÏÂÃæÕâ¸ùÖ½´øÊÇС³µÔÚ¹â»¬Ð±Ãæ´Ó¾²Ö¹¿ªÊ¼ÏÂÂä´ò³öµÄÖ½´øµÄÒ»²¿·Ö£¬ÆäÖÐÿÁ½¸ö¼ÇÊýµãÖ®¼ä»¹ÓÐËĸöµãûÓл³ö£¬Ã¿Á½¸ö¼ÇÊýµãÖ®¼äµÄʱ¼äÉèΪT£¬Ã¿Á½¸ö¼ÇÊýµãÖ®¼äµÄ¾àÀëÒѸø³ö£¬ÓÉÖ½´øËù¸øµÄÐÅÏ¢»Ø´ðÒÔϼ¸¸öСÌ⣮£¨×¢£ºÖ½´ø³¤¶Èµ¥Î»Îª¡°cm¡±£©
¢Ù´òÏÂ3Õâ¸ö¼ÇÊýµãʱС³µµÄËÙ¶È m/s
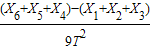
¢ÚС³µÔ˶¯¼ÓËٶȵıí´ïʽ £¨ÓÃX1£¬X2£¬X3£¬X4£¬X5£¬X6ºÍTÀ´±íʾ£©
¢ÛС³µÔ˶¯µÄ¼ÓËÙ¶È m/s2
¢Ü´òÏÂoµãʱС³µÒÑÔ˶¯ÁË s£®
¡¾´ð°¸¡¿·ÖÎö£º£¨1£©Á˽âµç´Å´òµã¼ÆÊ±Æ÷µÄ¹¤×÷µçѹºÍʵÑéµÄ¹¤×÷²½Ö裬Äܹ»ÊìÁ·Ê¹Óôòµã¼ÆÊ±Æ÷±ãÄÜÕýÈ·½â´ð¸ÃÌ⣮
£¨2£©¸ù¾ÝÔȱäËÙÖ±ÏßÔ˶¯µÄÍÆÂÛ¹«Ê½¡÷x=aT2¿ÉÒÔÇó³ö¼ÓËٶȵĴóС£¬¸ù¾ÝÔȱäËÙÖ±ÏßÔ˶¯ÖÐʱ¼äÖеãµÄËٶȵÈÓڸùý³ÌÖÐµÄÆ½¾ùËÙ¶È£¬¿ÉÒÔÇó³ö´òÖ½´øÉÏ3µãʱС³µµÄ˲ʱËÙ¶È´óС£®
½â´ð£º½â£º£¨1£©A¡¢ÔÚʹÓôòµã¼ÆÊ±Æ÷ʱ£¬´òµã¼ÆÊ±Æ÷½Ó½»Á÷µçÔ´£¬¹ÊA´íÎó
B¡¢Í¨³£´òµã¼ÆÊ±Æ÷µÄ´òµãÖÜÆÚΪ0.02s£¬¹ÊBÕýÈ·
C¡¢ÊµÑéʱ£¬Ó¦ÏÈ·Å¿ªÐ¡³µ£¬ÔÙ½Óͨ´òµã¼ÆÊ±Æ÷µçÔ´£¬ÓÉÓÚС³µÔ˶¯½Ï¿ì£¬¿ÉÄÜ»áʹ´ò³öÀ´µÄµãºÜÉÙ£¬²»ÀûÓÚÊý¾ÝµÄ²É¼¯ºÍ´¦Àí£¬¹ÊC´íÎó
D¡¢Óôòµã¼ÆÊ±Æ÷ʱ£¬±ØÐëÏÈ´ò¿ª´òµã¼ÆÊ±Æ÷£¬ÔÙÊÍ·ÅÖ½´ø£¬¹ÊDÕýÈ·
¹ÊÑ¡BD£®
£¨2£©¢Ù¸ù¾ÝÔȱäËÙÖ±ÏßÔ˶¯ÖÐʱ¼äÖеãµÄËٶȵÈÓڸùý³ÌÖÐµÄÆ½¾ùËÙ¶È£¬Ö½´øÉÏÃæÃ¿´òÒ»µãµÄʱ¼ä¼ä¸ôÊÇ0.02s£¬ÇÒÿÁ½¸ö¼ÇÊýµã¼ä»¹ÓÐËĸö¼ÆÊ±µãδ»³ö£¬T=0.1s£®
v3=
=0.80m/s
¢Ú¸ù¾ÝÔȱäËÙÖ±ÏßÔ˶¯µÄÍÆÂÛ¹«Ê½¡÷x=aT2¿ÉÒÔÇó³ö¼ÓËٶȵĴóС£¬
µÃ£ºX6-X3=3a1T2
X5-X2=3a2T2
X4-X1=3a3T2
ΪÁ˸ü¼Ó׼ȷµÄÇó½â¼ÓËÙ¶È£¬ÎÒÃǶÔ3¸ö¼ÓËÙ¶Èȡƽ¾ùÖµ
µÃ£ºa=
£¨a1+a2+a3£©=
¢Ûa=
£¨a1+a2+a3£©=
½âµÃa=1.00m/s2 £®
¢Üv3=0.80m/s
ËùÒÔ´òÏÂ3µãС³µÒÑÔ˶¯ÁË0.8s£¬ËùÒÔ´òÏÂoµãʱС³µÒÑÔ˶¯ÁË0.5s£¬
¹Ê´ð°¸Îª£º£¨1£©BD
£¨2£©¢Ù0.80
¢Ú
¢Û1.00
¢Ü0.50
µãÆÀ£º¶ÔÓÚ»ù±¾ÊµÑéÒÇÆ÷²»¹âÒªÁ˽âÆä¹¤×÷ÔÀí£¬»¹Òª´Óʵ¼ùÉÏÈ¥Á˽âËü£¬×Ô¼º¶¯ÊÖȥʵ¼Ê²Ù×÷£¬´ïµ½ÊìÁ·Ê¹Óõij̶ȣ®
£¨2£©¸ù¾ÝÔȱäËÙÖ±ÏßÔ˶¯µÄÍÆÂÛ¹«Ê½¡÷x=aT2¿ÉÒÔÇó³ö¼ÓËٶȵĴóС£¬¸ù¾ÝÔȱäËÙÖ±ÏßÔ˶¯ÖÐʱ¼äÖеãµÄËٶȵÈÓڸùý³ÌÖÐµÄÆ½¾ùËÙ¶È£¬¿ÉÒÔÇó³ö´òÖ½´øÉÏ3µãʱС³µµÄ˲ʱËÙ¶È´óС£®
½â´ð£º½â£º£¨1£©A¡¢ÔÚʹÓôòµã¼ÆÊ±Æ÷ʱ£¬´òµã¼ÆÊ±Æ÷½Ó½»Á÷µçÔ´£¬¹ÊA´íÎó
B¡¢Í¨³£´òµã¼ÆÊ±Æ÷µÄ´òµãÖÜÆÚΪ0.02s£¬¹ÊBÕýÈ·
C¡¢ÊµÑéʱ£¬Ó¦ÏÈ·Å¿ªÐ¡³µ£¬ÔÙ½Óͨ´òµã¼ÆÊ±Æ÷µçÔ´£¬ÓÉÓÚС³µÔ˶¯½Ï¿ì£¬¿ÉÄÜ»áʹ´ò³öÀ´µÄµãºÜÉÙ£¬²»ÀûÓÚÊý¾ÝµÄ²É¼¯ºÍ´¦Àí£¬¹ÊC´íÎó
D¡¢Óôòµã¼ÆÊ±Æ÷ʱ£¬±ØÐëÏÈ´ò¿ª´òµã¼ÆÊ±Æ÷£¬ÔÙÊÍ·ÅÖ½´ø£¬¹ÊDÕýÈ·
¹ÊÑ¡BD£®
£¨2£©¢Ù¸ù¾ÝÔȱäËÙÖ±ÏßÔ˶¯ÖÐʱ¼äÖеãµÄËٶȵÈÓڸùý³ÌÖÐµÄÆ½¾ùËÙ¶È£¬Ö½´øÉÏÃæÃ¿´òÒ»µãµÄʱ¼ä¼ä¸ôÊÇ0.02s£¬ÇÒÿÁ½¸ö¼ÇÊýµã¼ä»¹ÓÐËĸö¼ÆÊ±µãδ»³ö£¬T=0.1s£®
v3=
¢Ú¸ù¾ÝÔȱäËÙÖ±ÏßÔ˶¯µÄÍÆÂÛ¹«Ê½¡÷x=aT2¿ÉÒÔÇó³ö¼ÓËٶȵĴóС£¬
µÃ£ºX6-X3=3a1T2
X5-X2=3a2T2
X4-X1=3a3T2
ΪÁ˸ü¼Ó׼ȷµÄÇó½â¼ÓËÙ¶È£¬ÎÒÃǶÔ3¸ö¼ÓËÙ¶Èȡƽ¾ùÖµ
µÃ£ºa=
¢Ûa=
½âµÃa=1.00m/s2 £®
¢Üv3=0.80m/s
ËùÒÔ´òÏÂ3µãС³µÒÑÔ˶¯ÁË0.8s£¬ËùÒÔ´òÏÂoµãʱС³µÒÑÔ˶¯ÁË0.5s£¬
¹Ê´ð°¸Îª£º£¨1£©BD
£¨2£©¢Ù0.80
¢Ú
¢Û1.00
¢Ü0.50
µãÆÀ£º¶ÔÓÚ»ù±¾ÊµÑéÒÇÆ÷²»¹âÒªÁ˽âÆä¹¤×÷ÔÀí£¬»¹Òª´Óʵ¼ùÉÏÈ¥Á˽âËü£¬×Ô¼º¶¯ÊÖȥʵ¼Ê²Ù×÷£¬´ïµ½ÊìÁ·Ê¹Óõij̶ȣ®
Á·Ï°²áϵÁдð°¸
Ïà¹ØÌâÄ¿
ÏÂÃæÊÇһЩÓйظßÖÐÎïÀíʵÑéµÄÃèÊö£¬ÆäÖÐÕýÈ·µÄÊÇ£¨¡¡¡¡£©
| A¡¢ÔÚ¡°Ñо¿Æ½Å×Ô˶¯¡±ÊµÑéÖУ¬ÐèÒªÓÃÖØ´¸ÏßÈ·¶¨ÊúÖ±·½Ïò | B¡¢ÔÚ¡°Ñо¿ÔȱäËÙÖ±ÏßÔ˶¯¡±ÊµÑéÖУ¬ÐèҪƽºâĦ²ÁÁ¦ | C¡¢ÔÚ¡°ÑéÖ¤»úеÄÜÊØºã¶¨ÂÉ¡±µÄʵÑéÖУ¬ÐèÒªÓÃÌìÆ½²âÎïÌåµÄÖÊÁ¿ | D¡¢ÔÚ¡°ÑéÖ¤Á¦ºÏ³ÉµÄƽÐÐËıßÐζ¨Ôò¡±ÊµÑéÖУ¬Ò»¶¨ÒªÓÃÁ½¸ùµ¯»É³Ó | E¡¢ÔÚ¡°Ì½¾¿¶¯Äܶ¨Àí¡±µÄʵÑéÖв»ÐèÒªÖ±½ÓÇó³öºÏÍâÁ¦×öµÄ¹¦ | F¡¢ÔÚÓÃÅ·Ä·±í¡°¡Á10¡±µ²²âÁ¿µç×èʱ·¢ÏÖÖ¸ÕëÆ«×ª½Ç̫С£¬Ó¦¸Ã»»¡°¡Á1¡±µ²½øÐвâÁ¿ |