题目内容
我国道路安全部门规定:高速公路上行驶的最高时速为120km/h.交通部门提供下列资料:资料一:驾驶员的反应时间:0.3~0.6s
资料二:各种路面与轮胎之间的动摩擦因数
| 路面 | 动摩擦因数 |
| 干沥青 | 0.7 |
| 干碎石路面 | 0.6~0.7 |
| 湿沥青 | 0.32~0.4 |
A.100m
B.200m
C.300m
D.400m
【答案】分析:当汽车在湿沥青路面上行驶时,动摩擦因数最小,刹车时滑行的距离最大,根据运动学求出反应时间内汽车通过的距离,由动能定理求出刹车后滑行的距离,再求解安全距离最接近的值.
解答:解:汽车的最高速度为v=120km/h=33.3m/s.
在反应时间内,汽车仍做匀速直线运动,通过的最大距离为x1=vt=33.3×0.6m=20m
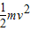
在汽车刹车的过程,根据动能定理得
-μmgx2=0-
得x2=
=
≈173.6m,则总位移大小为x=x1+x2=193m,接近200m.
故选B
点评:本题一抓住在反应时间内,汽车仍保持原来的运动状态;二要会选择数据,同等条件下,动摩擦因数越小,汽车滑行的距离越大,根据动摩擦因数最小的情况求解安全距离.
解答:解:汽车的最高速度为v=120km/h=33.3m/s.
在反应时间内,汽车仍做匀速直线运动,通过的最大距离为x1=vt=33.3×0.6m=20m
在汽车刹车的过程,根据动能定理得
-μmgx2=0-
得x2=
故选B
点评:本题一抓住在反应时间内,汽车仍保持原来的运动状态;二要会选择数据,同等条件下,动摩擦因数越小,汽车滑行的距离越大,根据动摩擦因数最小的情况求解安全距离.
练习册系列答案
相关题目
| 我国道路安全部门规定:高速公路上行驶的最高时速为120km/h.交通部门提供下列资料: 资料一:驾驶员的反应时间:0.3~0.6s 资料二:各种路面与轮胎之间的动摩擦因数
|
我国道路安全部门规定:高速公路上行驶的最高时速为120km/h。交通部门提供下列资料:
资料一:驾驶员的反应时间:0.3~0.6s
资料二:各种路面与轮胎之间的动摩擦因数
路面 | 动摩擦因数 |
干沥青 | 0.7 |
干碎石路面 | 0.6~0.7 |
湿沥青 | 0.32~0.4 |
根据以上资料,通过计算判断汽车行驶在高速公路上的安全距离最接近( )
A.100m B.200m C.300m D.400m
我国道路安全部门规定:高速公路上行驶的最高时速为120km/h.交通部门提供下列资料:
资料一:驾驶员的反应时间:0.3~0.6s
资料二:各种路面与轮胎之间的动摩擦因数
| 路面 | 动摩擦因数 |
| 干沥青 | 0.7 |
| 干碎石路面 | 0.6~0.7 |
| 湿沥青 | 0.32~0.4 |
根据以上资料,通过计算判断汽车行驶在高速公路上的安全距离最接近( )
A.100m B.200m C.300m D.400m
我国道路安全部门规定:高速公路上行驶的最高时速为120km/h。交通部门提供下列资料:
资料一:驾驶员的反应时间:0.3~0.6s
资料二:各种路面与轮胎之间的动摩擦因数(见表)
| 路面 | 动摩擦因数 |
| 干沥青 | 0.7 |
| 干碎石路面 | 0.6~0.7 |
| 湿沥青 | 0.32~0.4 |
根据以上资料,通过计算判断汽车在高速公路上行驶时的安全距离最接近
A.100m B.200m C.300m D.400m
我国道路安全部门规定:高速公路上行驶的最高时速为120km/h。交通部门提供下列资料:
资料一:驾驶员的反应时间:0.3~0.6s
资料二:各种路面与轮胎之间的动摩擦因数(见右表)
| 路面 | 动摩擦因数 |
| 干沥青 | 0.7 |
| 干碎石路面 | 0.6~0.7 |
| 湿沥青 | 0.32~0.4 |
A.100m B.200m C.300m D.400m