题目内容
物理小组在一次探究活动中测量滑块与木板之间的动摩擦因数.实验装置如图甲所示,打点计时器固定在斜面上,滑块拖着穿过打点计时器的纸带从斜面上有静止滑下.图乙是打出的纸带的一段.(1)已知打点计时器所使用的交流电的频率为50Hz,选A、B、C、D、E、F、G 7个点为计数点,且各计数点间均有一个点没有画出,则滑块下滑的加速度a=______m/s2.
(2)为测量动摩擦因数,下列物理量中还应测量的有______.(填入所选物理量前的字母)
A、木板的长度L B、木板的末端被垫起的高度h
C、木板的质量m1D、滑块的质量m2
E、滑块运动的时间t
(3)滑块与木板间的动摩擦因数μ=______
【答案】分析:(1)利用逐差法可以求出滑块下滑的加速度.
(2)根据牛顿第二定律有mgsinθ-μmgcosθ=ma,由此可知需要测量的物理量.
(3)根据牛顿第二定律的表达式,可以求出摩擦系数的表达式.
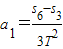
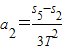
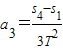
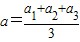
解答:解:(1)根据逐差法法有:




其中T=2×T=0.04s,代入数据解得:a=3.00m/s2.
故答案为:3.00.
(2)根据牛顿第二定律有mgsinθ-μmgcosθ=ma,可知只要求出cosθ和sinθ即可,根据数学知识可知只要求出木板的长度L和木板的末端被垫起的高度h即可,故AB正确,BCD错误.
故选AB.
(3)根据mgsinθ-μmgcosθ=ma,解得:
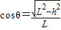
根据数学知识有:
,
,所以带入解得:μ=
故答案为:
.
点评:本实验结合牛顿第二定律考查了滑动摩擦因数的测定,解决问题的突破点是数学知识的应用,本题是考查数学知识在物理中应用的典型题目.
(2)根据牛顿第二定律有mgsinθ-μmgcosθ=ma,由此可知需要测量的物理量.
(3)根据牛顿第二定律的表达式,可以求出摩擦系数的表达式.
解答:解:(1)根据逐差法法有:
其中T=2×T=0.04s,代入数据解得:a=3.00m/s2.
故答案为:3.00.
(2)根据牛顿第二定律有mgsinθ-μmgcosθ=ma,可知只要求出cosθ和sinθ即可,根据数学知识可知只要求出木板的长度L和木板的末端被垫起的高度h即可,故AB正确,BCD错误.
故选AB.
(3)根据mgsinθ-μmgcosθ=ma,解得:
根据数学知识有:
故答案为:
点评:本实验结合牛顿第二定律考查了滑动摩擦因数的测定,解决问题的突破点是数学知识的应用,本题是考查数学知识在物理中应用的典型题目.
练习册系列答案
相关题目