题目内容
火车的速度为8m/s,关闭发动机后前进70m时速度减为6m/s.若再经过50s,火车又前进的距离为多少.
【答案】分析:根据匀变速直线运动的速度位移公式求出火车匀减速直线运动的加速度,判断火车再经历多长时间停止,根据匀变速直线运动的位移公式求出火车又前进的距离.
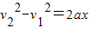
解答:解:由
得,a=
.
火车从6m/s到停止所需的时间
.
所以50s内的位移与30s内的位移相等.
则
.
答:火车又前进的距离为90m.
点评:解决本题的关键掌握匀变速直线运动的速度位移公式,注意该问题是刹车问题,速度减为零,不再运动.
解答:解:由
火车从6m/s到停止所需的时间
所以50s内的位移与30s内的位移相等.
则
答:火车又前进的距离为90m.
点评:解决本题的关键掌握匀变速直线运动的速度位移公式,注意该问题是刹车问题,速度减为零,不再运动.
练习册系列答案
相关题目
火车的速度为8m/s,关闭发动机后前进了70m时速度减为6m/s,若再经过50s,火车又前进的距离为(关闭发动机后火车作匀减速运动)( )
| A、50 m | B、90 m | C、120 m | D、160 m |