题目内容
我国研制并成功发射的“嫦娥二号”探测卫星,在距月球表面高度为h的轨道上做匀速圆周运动,运行的周期为T.若以R表示月球的半径,则( )A.卫星运行时的向心加速度为
B.物体在月球表面自由下落的加速度为
C.卫星运行时的线速度为
D.月球的第一宇宙速度为
【答案】分析:嫦娥二号距月球的轨道半径(R+h),周期T均为已知,应用万有引力提供向心力整理可得GM的表达式,再应用万有引力提供向心力解得所要求解的物理量.
解答:解:已知嫦娥二号距月球的轨道半径(R+h),周期T;万有引力提供向心力,
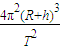
得:
=ma向=
①
A、所以卫星运行时的向心加速度:a向=
,故A错误.
B、物体在月球表面自由下落的加速度为:G
=ma,解得:a=
,故B错误.
C、卫星运行时的线速度为:
,故C错误.
D、月球的第一宇宙速度:G
=m
,
解得:V2=
; ②
由①得:GM=
③
由②③解得:v2=
,故D正确.
故选:D
点评:要解出一个物理量大小,我们应该把这个物理量先表示出来,再代入数值.向心力的公式选取要根据题目提供的已知物理量或所求解的物理量选取应用.
解答:解:已知嫦娥二号距月球的轨道半径(R+h),周期T;万有引力提供向心力,
得:
A、所以卫星运行时的向心加速度:a向=
B、物体在月球表面自由下落的加速度为:G
C、卫星运行时的线速度为:
D、月球的第一宇宙速度:G
解得:V2=
由①得:GM=
由②③解得:v2=
故选:D
点评:要解出一个物理量大小,我们应该把这个物理量先表示出来,再代入数值.向心力的公式选取要根据题目提供的已知物理量或所求解的物理量选取应用.
练习册系列答案
相关题目
我国研制并成功发射的“嫦娥二号”探测卫星,在距月球表面高度为h的轨道上做匀速圆周运动,运行的周期为T.若以R表示月球的半径,则( )
A、卫星运行时的线速度为
| ||||
B、卫星运行时的向心加速度为
| ||||
C、月球的第一宇宙速度为
| ||||
D、物体在月球表面自由下落的加速度为
|