题目内容
在勇气号火星探测器着陆的最后阶段,着陆器降落到火星表面上,再经过多次弹跳才停下来.假设着陆器第一次落到火星表面弹起后,到达最高点时的高度为h,速度方向是水平的,速度大小为v,求它第二次落到火星表面时速度的大小,计算时不计火星大气阻力.已知火星的一个卫星的圆轨道的半径为r,周期为T.火星可视为半径为r的均匀球体.
【答案】分析:在火星表面,根据万有引力等于重力列出等式.
研究卫星绕火星做圆周运动,向心力由万有引力提供列出等式.
根据平抛运动规律解决问题.
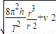
解答:解:对火星表面的某一物体,由万有引力定律和牛顿第二定律得:
=mg ①
对火星的卫星做圆周运动的向心力由万有引力提供得:
②
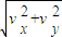
着陆器从最高点到第二次落到火星表面做平抛运动,根据平抛运动规律解得:
vx=v0 ③
vy2=2gh ④
v=
⑤
由以上各式解得:v=
答:它第二次落到火星表面时速度的大小为
.
点评:重力加速度g是天体运动研究和天体表面宏观物体运动研究联系的物理量.
向心力的公式选取要根据题目提供的已知物理量或所求解的物理量选取应用.
研究卫星绕火星做圆周运动,向心力由万有引力提供列出等式.
根据平抛运动规律解决问题.
解答:解:对火星表面的某一物体,由万有引力定律和牛顿第二定律得:
对火星的卫星做圆周运动的向心力由万有引力提供得:
着陆器从最高点到第二次落到火星表面做平抛运动,根据平抛运动规律解得:
vx=v0 ③
vy2=2gh ④
v=
由以上各式解得:v=
答:它第二次落到火星表面时速度的大小为
点评:重力加速度g是天体运动研究和天体表面宏观物体运动研究联系的物理量.
向心力的公式选取要根据题目提供的已知物理量或所求解的物理量选取应用.
练习册系列答案
相关题目
2004年1月25日,继“勇气”号之后,“机遇”号火星探测器再次成功登陆火星.在人类成功登陆火星之前,人类为了探测距离地球大约3.O×105km的月球,也发射了一种类似四轮小车的月球探测器.它能够在自动导航系统的控制下行走,且每隔10 s向地球发射一次信号.探测器上还装着两个相同的减速器(其中一个是备用的),这种减速器可提供的最大加速度为5 m/s2.某次探测器的自动导航系统出现故障,从而使探测器只能匀速前进而不再能自动避开障碍物.此时地球上的科学家必须对探测器进行人工遥控操作.下表为控制中心的显示屏的数据:
| 收到信号时间 | 与前方障碍物距离(单位:m) |
| 9:1020 | 52 |
| 9:1030 | 32 |
| 发射信号时间 | 给减速器设定的加速度(单位:m/s2) |
| 9:1033 | 2 |
| 收到信号时间 | 与前方障碍物距离(单位:m) |
| 9:1040 | 12 |
已知控制中心的信号发射与接收设备工作速度极快.科学家每次分析数据并输入命令最少需要3 s.问:
(1)经过数据分析,你认为减速器是否执行了减速命令?
(2)假如你是控制中心的工作人员,应采取怎样的措施?加速度需满足什么条件?请计算说明.