题目内容

2003年10月25日,我国成功发射了第一艘载人宇宙飞船“神舟五号”.火箭全长58.3m,起飞质量为479.8t,火箭点火升空,飞船进入预定轨道.“神舟五号”环绕地球飞行14圈约用时间21h.飞船点火竖直升空时,航天员杨利伟感觉“超重感比较强”,仪器显示他对座舱的最大压力等于他体重的5倍.飞船进入轨道后,杨利伟还多次在舱内飘浮起来.假设飞船运行的轨道是圆形轨道.(地球半径R取,地面重力加速度g取,计算结果取两位有效数字)

(1)试分析航天员在舱内“飘浮起来”的现象产生的原因;

(2)求火箭点火发射时,火箭的最大推力;

(3)估算飞船运行轨道距离地面的高度.

答案:略
解析:

(1)航天员随舱做圆周运动,万有引力用来提供圆周运动的向心力,航天员对支撑物的压力为零,故航天员“飘浮起来”是一种失重现象;

(2)火箭点火时,航天员受重力和支持力作用且N=5mg,此时有:Nmg=ma,解得:a=4g,此加速度即火箭起飞时的加速度,对火箭进行受力分析,列方程:FMg=Ma,解得火箭的最大推力:

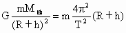
(3)飞船绕地球做匀速圆周运动,万有引力是其向心力:,由此可估算出h


练习册系列答案
相关题目

违法和不良信息举报电话:027-86699610 举报邮箱:58377363@163.com

精英家教网