题目内容

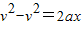
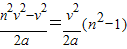
物体以初速度为v,加速度a做匀加速直线运动,如果要使物体速度增大到初速度的n倍,则在这个过程中,物体通过的位移是( )
A.
B.
C.
D.
【答案】分析:根据匀变速直线运动的速度位移公式求出物体的位移大小.
解答:解:由速度位移公式得,x==.故A正确,B、C、D错误.
故选A.
点评:解决本题的关键掌握匀变速直线运动的速度位移公式
练习册系列答案
相关题目
A.(选修模块3-3)
二氧化碳是导致全球变暖的主要原因之一,人类在采取节能减排措施的同时,也在研究控制温室气体的新方法,目前专家们正在研究二氧化碳的深海处理技术.
(1)在某次实验中,将一定质量的二氧化碳气体封闭在一可自由压缩的导热容器中,将容器缓慢移到海水某深处,气体体积减为原来的一半,不计温度变化,则此过程中
BD
BD

A.封闭气体对外界做正功            B.封闭气体向外界传递热量
C.封闭气体分子的平均动能增大      D.封闭气体组成的系统的熵减小
(2)实验发现,二氧化碳气体在水深170m处变成液体,它的密度比海水大,靠深海的压力使它永沉海底,以减少排放到大气中的二氧化碳量.容器中的二氧化碳处于汽液平衡状态时的压强随温度的增大而
增大
增大
(选填“增大”、“减小”或“不变”);在二氧化碳液体表面,其分子间的引力
大于
大于
(选填“大于”、“等于”或“小于”)斥力.
(3)实验发现,在水深300m处,二氧化碳将变成凝胶状态,当水深超过2500m时,二氧化碳会浓缩成近似固体的硬胶体.设在某状态下二氧化碳气体的密度为ρ,摩尔质量为M,阿伏加德罗常数为N,将二氧化碳分子看作直径为D的球,体积为于
1
6
π
D3,则在该状态下体积为V的二氧化碳气体变成固体后体积为多少?
B.(选修模块3-4)
(1)下列说法中正确的是
AB
AB

A.相对论认为时间和空间与物质的运动状态有关
B.用激光读取光盘上记录的信息是利用激光平行度好的特点
C.一列波在向前传播,当波源突然停止振动时,其他质点也同时停止振动
D. 单摆的摆长增大后,简谐运动的频率会变大
(2)我国正在大规模建设第三代移动通信系统(3G),它将无线通信与国际互联网等多媒体通信结合起来,能提供无线网络、电话会议、电子商务等信息服务.某移动运营商采用1.8x109HZ的电磁波传递信号,此电磁波在真空中的波长为
0.17
0.17
m;在通话时,手机将声音信号转变成电信号,再经过
调制
调制
(选填“调谐”、“调制”或“解调”)后,把信号发送到基站中转.
(3)在某科技馆内放置了一个高大的半圆柱形透明物体,其俯视图如图所示,0为半圆的圆心.甲、乙两同学为了估测该透明体的折射率,进行了如下实验.他们分别站在A、O处时,相互看着对方,然后两人贴着柱体慢慢向一侧运动,到达B、C处时,甲刚好看不到乙.已知半圆柱体的半径为R,OC=0.6R,BC⊥OC,则半圆柱形透明物体的折射率为多少?
C.(选修模块3-5)
(1)下列物理实验中,能说明粒子具有波动性的是
CD
CD

A.通过研究金属的遏止电压与入射光频率的关系,证明了爱因斯坦方程的正确性
B.通过测试多种物质对X射线的散射,发现散射射线中有波长变大的成分
C.通过电子双缝实验,发现电子的干涉现象
D.利用晶体做电子束衍射实验,证实了电子的波动性
(2)氢原子的能级如图所示.有一群处于n=4能级的氢原子,这群氢原子能发出
6
6
种谱线,发出的光子照射某金属能产生光电效应现象,则该金属的逸出功应小于
12.75
12.75
eV.
(3)近年来,国际热核聚变实验堆计划取得了重大进展,它利用的核反应方程是
 
2
1
H+
 
3
1
H
 
4
2
He+
 
1
0
n
.若
 
2
1
H
 
3
1
H
迎面碰撞,初速度大小分别为v1、v2
 
2
1
H
 
3
1
H
 
4
2
He、
 
1
0
n
的质量分别为m1、m2、m3、m4,反应后
 
4
2
He的速度大小为v3,方向与
 
2
1
H
的运动方向相同,求中子
 
1
0
n
的速度
(选取m的运动方向为正方向,不计释放的光子的动量,不考虑相对论效应).
A.(选修模块3-3)
二氧化碳是导致全球变暖的主要原因之一,人类在采取节能减排措施的同时,也在研究控制温室气体的新方法,目前专家们正在研究二氧化碳的深海处理技术.
(1)在某次实验中,将一定质量的二氧化碳气体封闭在一可自由压缩的导热容器中,将容器缓慢移到海水某深处,气体体积减为原来的一半,不计温度变化,则此过程中______
A.封闭气体对外界做正功            B.封闭气体向外界传递热量
C.封闭气体分子的平均动能增大      D.封闭气体组成的系统的熵减小
(2)实验发现,二氧化碳气体在水深170m处变成液体,它的密度比海水大,靠深海的压力使它永沉海底,以减少排放到大气中的二氧化碳量.容器中的二氧化碳处于汽液平衡状态时的压强随温度的增大而______(选填“增大”、“减小”或“不变”);在二氧化碳液体表面,其分子间的引力______(选填“大于”、“等于”或“小于”)斥力.
(3)实验发现,在水深300m处,二氧化碳将变成凝胶状态,当水深超过2500m时,二氧化碳会浓缩成近似固体的硬胶体.设在某状态下二氧化碳气体的密度为ρ,摩尔质量为M,阿伏加德罗常数为N,将二氧化碳分子看作直径为D的球,体积为于D3,则在该状态下体积为V的二氧化碳气体变成固体后体积为多少?
B.(选修模块3-4)
(1)下列说法中正确的是______
A.相对论认为时间和空间与物质的运动状态有关
B.用激光读取光盘上记录的信息是利用激光平行度好的特点
C.一列波在向前传播,当波源突然停止振动时,其他质点也同时停止振动
D. 单摆的摆长增大后,简谐运动的频率会变大
(2)我国正在大规模建设第三代移动通信系统(3G),它将无线通信与国际互联网等多媒体通信结合起来,能提供无线网络、电话会议、电子商务等信息服务.某移动运营商采用1.8x109HZ的电磁波传递信号,此电磁波在真空中的波长为______m;在通话时,手机将声音信号转变成电信号,再经过______(选填“调谐”、“调制”或“解调”)后,把信号发送到基站中转.
(3)在某科技馆内放置了一个高大的半圆柱形透明物体,其俯视图如图所示,0为半圆的圆心.甲、乙两同学为了估测该透明体的折射率,进行了如下实验.他们分别站在A、O处时,相互看着对方,然后两人贴着柱体慢慢向一侧运动,到达B、C处时,甲刚好看不到乙.已知半圆柱体的半径为R,OC=0.6R,BC⊥OC,则半圆柱形透明物体的折射率为多少?
C.(选修模块3-5)
(1)下列物理实验中,能说明粒子具有波动性的是______
A.通过研究金属的遏止电压与入射光频率的关系,证明了爱因斯坦方程的正确性
B.通过测试多种物质对X射线的散射,发现散射射线中有波长变大的成分
C.通过电子双缝实验,发现电子的干涉现象
D.利用晶体做电子束衍射实验,证实了电子的波动性
(2)氢原子的能级如图所示.有一群处于n=4能级的氢原子,这群氢原子能发出______种谱线,发出的光子照射某金属能产生光电效应现象,则该金属的逸出功应小于______eV.
(3)近年来,国际热核聚变实验堆计划取得了重大进展,它利用的核反应方程是.若迎面碰撞,初速度大小分别为v1、v2He、的质量分别为m1、m2、m3、m4,反应后He的速度大小为v3,方向与的运动方向相同,求中子的速度
(选取m的运动方向为正方向,不计释放的光子的动量,不考虑相对论效应).

违法和不良信息举报电话:027-86699610 举报邮箱:58377363@163.com

精英家教网