题目内容

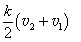
熊蜂能够以最大速度v1竖直向上飞,以最大速度v2竖直向下飞。熊蜂“牵引力”与飞行方向无关,空气阻力与熊蜂速度成正比,比例系数为k。则熊蜂“牵引力”的大小是     ,熊蜂沿水平方向飞行的最大速度是       

练习册系列答案
相关题目

违法和不良信息举报电话:027-86699610 举报邮箱:58377363@163.com

精英家教网