题目内容

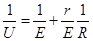
某实验小组设计了下面的实验电路测量电池的电动势和内电阻,闭合开关S,调整电阻箱的阻值R,读出电压表相应示数U,测出多组数据,利用测的数据做出如右下图像。则电池的电动势为           ,内电阻为        。电动势的测量值与真实值相比         (填“偏大”、“偏小”或“相等”)

 

 

【答案】

2V,0.2Ω,偏小。

【解析】

试题分析:由全电路欧姆定律可得 ,解得,所以,解得E=2V,r=0.2Ω;考虑到电压表内阻的影响,所以外电阻取值偏大,则1/R偏小,则电动势测量值偏小。

考点:测量电源的电动势及内阻。

 

练习册系列答案
相关题目

违法和不良信息举报电话:027-86699610 举报邮箱:58377363@163.com

精英家教网