题目内容
一个作匀加速直线运动的物体,先后经过a、b两点时的速度分别为v和7v,经过ab的时间是t,则下列判断正确的是( )A.经过ab中点的速度是4v
B.经过ab中间时刻的速度是4v
C.前
D.前一半位移所用的时间是后一半位移所用时间的2倍
【答案】分析:A、中点的速度可以根据公式
,
,联立两方程求解.
B、匀变速运动在某段时间内的平均速度等于中间时刻的瞬时速度.
C、求出中间时刻的速度,再根据平均速度公式求出两段时间内的位移.
D、求出中间位置的速度,然后通过公式
分析.
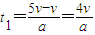
解答:解:A、设中间位置的速度为
,根据公式
,
,
=5v.故A错误.
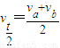
B、匀变速运动在某段时间内的平均速度等于中间时刻的瞬时速度.所以
=4v.故B正确.
C、中间时刻的速度为4v,前
时间通过的位移x1=
=
,后
时间通过的位移x2=
=
,后
时间通过的位移比前
时间通过的位移多1.5vt.故C正确.
D、中间位置的速度为
=5v,前一半位移所用的时间
,后一半位移所用的时间
,前一半位移所用的时间是后一半位移所用时间的2倍.故D正确.
故选BCD.
点评:解决本题的关键是掌握匀变速直线运动的公式以及推论,并能灵活运用.
B、匀变速运动在某段时间内的平均速度等于中间时刻的瞬时速度.
C、求出中间时刻的速度,再根据平均速度公式求出两段时间内的位移.
D、求出中间位置的速度,然后通过公式
解答:解:A、设中间位置的速度为
B、匀变速运动在某段时间内的平均速度等于中间时刻的瞬时速度.所以
C、中间时刻的速度为4v,前
D、中间位置的速度为
故选BCD.
点评:解决本题的关键是掌握匀变速直线运动的公式以及推论,并能灵活运用.
练习册系列答案
相关题目