题目内容
【答案】分析:当两个弹簧的总长度等于两弹簧原长之和时,上边弹簧的伸长量与下边弹簧的压缩量相等.对m1受力分析,有m1g=k1x+k2x,得出伸长量和压缩量x.对平板和m1整体受力分析有:F=(m2+m)g+k2x,从而求出托起平板竖直向上的力.
求出未托m2时,上面弹簧伸长量和下面弹簧伸长量,再根据托起m2时上面弹簧的伸长量和下面弹簧的压缩量求出m2上升的高度.
解答:
解:当两个弹簧的总长度等于两弹簧原长之和时,下面弹簧的压缩量应等于上面弹簧的伸长量,设为x,
对m1受力分析得:m1g=k1x+k2x…①
对平板和m2整体受力分析得:
F=(m2+m)g+k2x…②
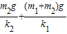
①②联解得托起平板竖直向上的力F=
未托m2时,上面弹簧伸长量为x1=
…③
下面弹簧伸长量为x2=
…④
托起m2时:m1上升高度为:h1=x1-x…⑤
m2相对m1上升高度为:h2=x2+x…⑥
m2上升高度为:h=h1+h2…⑦
③④⑤⑥⑦联解得h=
.
点评:求出本题的关键知道当两个弹簧的总长度等于两弹簧原长之和时,上边弹簧的伸长量与下边弹簧的压缩量相等.以及理清未托m2时和托起m2时两根弹簧的形变量,确定m2上升的高度.
求出未托m2时,上面弹簧伸长量和下面弹簧伸长量,再根据托起m2时上面弹簧的伸长量和下面弹簧的压缩量求出m2上升的高度.
解答:
对m1受力分析得:m1g=k1x+k2x…①
对平板和m2整体受力分析得:
F=(m2+m)g+k2x…②
①②联解得托起平板竖直向上的力F=
未托m2时,上面弹簧伸长量为x1=
下面弹簧伸长量为x2=
托起m2时:m1上升高度为:h1=x1-x…⑤
m2相对m1上升高度为:h2=x2+x…⑥
m2上升高度为:h=h1+h2…⑦
③④⑤⑥⑦联解得h=
点评:求出本题的关键知道当两个弹簧的总长度等于两弹簧原长之和时,上边弹簧的伸长量与下边弹簧的压缩量相等.以及理清未托m2时和托起m2时两根弹簧的形变量,确定m2上升的高度.
练习册系列答案
相关题目