题目内容
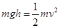
(10分)在用打点计时器验证机械能守恒定律的实验中,使质量为
的重物自由下落,打点计时器在纸带上打出一系列的点,选取一条符合实验要求的纸带如图所示.O为第一个点,A、B、C为从合适位置开始选取连续点中的三个点.已知打点计时器每隔0.02 s打一个点,当地的重力加速度为
,那么:
![]()
(1)电磁打点计时器与电源相接,下图中接线正确的是 (填“A”或“B”);
![]()
(2)根据图上所得的数据,应取图中O点到________点来验证机械能守恒定律;
(3)从O点到(2)问中所取的点,重物重力势能的减少量
=______
,动能增加量
=_______
(结果取三位有效数字);
(4)若测出纸带上所有各点到O点之间的距离,根据纸带算出各点的速度
及物体下落的高度
,则以
为纵轴,以
为横轴画出的图象是下图中的________.
![]()
(1)B (2分) (2) B (2分) (3)1.88 (2分) ,1.84 (2分) (4)A (2分)
【解析】
试题分析:(1)电磁打点计时器使用交流电源,所以图中接线正确的是B.
(2)验证机械能守恒时,我们验证的是减少的重力势能
和增加的动能
之间的关系,所以我们要选择能够测
和
的数据,故选B点.
(3)减少的重力势能
;
,则增加的动能
。
(4)根据
,得
,即
与
成正比,故A正确.
考点:本题考查了验证机械能守恒定律.
- QQ空间
- 新浪微博
- 百度搜藏
- 人人网
- 腾讯微博
- 开心网
- 腾讯朋友
- 百度空间
- 豆瓣网
- 搜狐微博
- MSN
- QQ收藏
- 我的淘宝
- 百度贴吧
- 搜狐白社会
- 更多...
百度分享
一个有一定厚度的圆盘,可以绕通过中心垂直于盘面的水平轴转动,用下面的方法测量它匀速转动时的角速度。
实验器材:电磁打点计时器、米尺、纸带、复写纸片。
实验步骤:
(1)如图1所示,将电磁打点计时器固定在桌面上,将纸带的一端穿过打点计时器的限位孔后,固定在待测圆盘的侧面上,使得圆盘转动时,纸带可以卷在圆盘侧面上。
(2)启动控制装置使圆盘转动,同时接通电源,打点计时器开始打点。
(3)经过一段时间,停止转动和打点,取下纸带,进行测量。
① 由已知量和测得量表示的角速度的表达式为ω= 。式中各量的意义是:
.
② 某次实验测得圆盘半径r=5.50×10-2m,得到纸带的一段如图2所示,求得角速度为 。
(1) (2)6.8/s。 |