题目内容
甲、乙两人同时由相同位置A沿直线运动到同一位置B,甲先以速度v1匀速运动了一半路程,然后以速度v2匀速走完了剩下的后一半路程;乙在由A地运动到B地的过程中,前一半时间内运动速度为v1,后一半时间内乙的运动速度为v2,若v1<v2,则甲与乙相比较( )A.甲先到达B地
B.乙先到达B地
C.只要v1、v2取值合适,甲、乙两人可以同时到达
D.以上情况都有可能
【答案】分析:要求哪辆车先到达,只需要分别求出两车所用的时间与位移、速度的关系式,然后作差即可.
解答:解:设甲乙两地之间的距离为x,甲运动的时间为t1,乙运动的时间为t2,
则对于甲来说有t1=
;
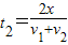
对于乙来说有x=v1
t2+v2?
t2,解得
;
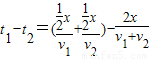
故
=
>0
故t2<t1
即乙车用的时间少,即乙车先到达.故B正确,A、C、D错误.
故选B.
点评:这类题目共同的特点是所给的物理量之间存在着某种关系:位移关系,时间关系,速度关系,只要耐心,用位移速度表示出各自运动的时间,然后将时间作差或作商即可.
解答:解:设甲乙两地之间的距离为x,甲运动的时间为t1,乙运动的时间为t2,
则对于甲来说有t1=
对于乙来说有x=v1
故
故t2<t1
即乙车用的时间少,即乙车先到达.故B正确,A、C、D错误.
故选B.
点评:这类题目共同的特点是所给的物理量之间存在着某种关系:位移关系,时间关系,速度关系,只要耐心,用位移速度表示出各自运动的时间,然后将时间作差或作商即可.
练习册系列答案
相关题目
甲、乙两人同时由相同位置A沿直线运动到同一位置B,甲先以速度v1匀速运动了一半路程,然后以速度v2匀速走完剩下的后一半路程;乙在由A地运动到B地的过程中,前一半时间运动速度为v1,后一半时间的运动速度为v2,若v1< v2,则甲与乙比较,以下正确的是( )
| A.甲先到达B地 | B.乙先到达B地 |
| C.只要取值合适,甲、乙两人可以同时到达 | D.以上情况都有可能 |