题目内容

(广东)如下图真空室内存在匀强磁场,磁场方向垂直于纸面向里,磁感应强度的大小B=0.60T,磁场内有一块平面感光板ab,板面与磁场方向平行,在距ab的距离l=16cm处,有个点状的α放射源S,它向各个方向发射α粒子,α粒子的速度都是,已知α粒子的电荷量与质量之比,现只考虑在图纸平面中运动的α粒子,求ab上被α粒子打中的区域的长度.

         

答案:20cm
解析:

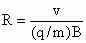
思路分析:α粒子带正电,故在磁场中沿逆时针方向做匀速圆周运动,用R表示轨道半径,有

  由此得,代入数值得R=10cm

  可见,2RlR

  因朝不同方向发射的α粒子的圆轨迹都过S,因此可知,某一圆轨迹在下图中N左侧与ab相切,则此切点就是α粒子能打中的左侧最远点.为定出点的位置,可作平行于ab的直线cdcdab的距离为R,以S为圆心,R为半径,作弧交cdQ点,过Qab的垂线,它与ab的交点即为

  再考虑N的右侧.任何α粒子在运动中离S的距离不可能超过2R,以2R为直径、S点为圆心作圆,交abN右侧的点,此即右侧能打到的最远点.

  由图中几何关系得

  所求长度为

  代入数值得

规律技巧总结:描绘可能路径,由几何图形找临界情形,确定极值或所有可能性.


练习册系列答案
相关题目

违法和不良信息举报电话:027-86699610 举报邮箱:58377363@163.com

精英家教网