题目内容

一质量为500 t的机车,以恒定功率375 kW由静止出发,经过5 min速度达到最大值54 km/h,设机车所受阻力f恒定不变,取g10 m/s2,试求:

(1)机车受到的阻力f的大小.

(2)机车在这5 min内行驶的路程.

答案:
解析:

  答案:(1)2.5×104 N

  (2)2250 m

  

  

  (2)机车在这5 min内,牵引力为变力,做正功,阻力做负功,重力、弹力不做功.

  根据P0,牵引力做的功为:WFP0·t

  根据动能定理有:

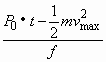
  P0·tf·smv2max0

  解得:s

  =m

  =2250 m


练习册系列答案
相关题目

违法和不良信息举报电话:027-86699610 举报邮箱:58377363@163.com

精英家教网