题目内容

已知地球赤道长为L,地球表面得重力加速度为g.月球绕地球做圆周运动的周期为T.请根据以上已知条件,推算月球与地球间的近似距离.

答案:
解析:

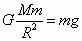
解:设地球表面的一物体质量为m,地球质量为M,半径为R

在地球表面(2分)

(2分)

设月球与地球间的距离为r,月球质量为,由万有引力定律和牛顿第二定律

(2分)

由以上三式求出(2分)


练习册系列答案
相关题目

违法和不良信息举报电话:027-86699610 举报邮箱:58377363@163.com

精英家教网