ÌâÄ¿ÄÚÈÝ
ÔÚ¡°ÑéÖ¤»úеÄÜÊØºã¶¨ÂÉ¡±µÄʵÑéÖУ¬´òµã¼ÆÊ±Æ÷½ÓÔÚµçѹΪE£¬ÆµÂÊΪfµÄ½»Á÷µçÔ´ÉÏ£¬ÔÚʵÑéÖдòÏÂÒ»ÌõÀíÏëÖ½´ø£¬ÈçͼËùʾ£¬Ñ¡È¡Ö½´øÉÏ´ò³öµÄÁ¬Ðø5¸öµãA¡¢B¡¢C¡¢D¡¢E£¬²â³öAµã¾àÆðʼµãµÄ¾àÀëΪS£¬µãAC¼äµÄ¾àÀëΪS1£¬µãCE¼äµÄ¾àÀëΪS2£¬ÒѸ÷ÖØ´¸µÄÖÊÁ¿Îªm£¬µ±µØµÄÖØÁ¦¼ÓËÙ¶ÈΪg£¬Ôò´ÓÆðʼµãOµ½´òÏÂCµãµÄ¹ý³ÌÖУ¬ÖØ´¸ÖØÁ¦ÊÆÄܵļõÉÙÁ¿Îª¡÷EP=______£¬ÖØ´¸¶¯ÄܵÄÔö¼ÓÁ¿Îª¡÷EK=______£®
¡¾´ð°¸¡¿·ÖÎö£ºÖ½´ø·¨ÊµÑéÖУ¬ÈôÖ½´øÔȱäËÙÖ±ÏßÔ˶¯£¬²âµÃÖ½´øÉϵĵã¼ä¾à£¬ÀûÓÃÔȱäËÙÖ±ÏßÔ˶¯µÄÍÆÂÛ£¬¿É¼ÆËã³ö´ò³öijµãʱֽ´øÔ˶¯µÄ˲ʱËÙ¶È£¬´Ó¶øÇó³ö¶¯ÄÜ£®¸ù¾Ý¹¦ÄܹØÏµµÃÖØÁ¦ÊÆÄܼõСÁ¿µÈÓÚÖØÁ¦×ö¹¦µÄÊýÖµ£®
½â´ð£º½â£ºÖØÁ¦ÊÆÄܵļõСÁ¿µÈÓÚÖØÁ¦Ëù×ö¹¦µÄ´óС£¬Òò´ËÓУºW=mgx=mg£¨S+S1£©£»
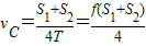
¸ù¾ÝÔȱäËÙÖ±ÏßÔ˶¯ÖÐʱ¼äÖеãµÄ˲ʱËÙ¶È´óСµÈÓڸùý³ÌÖÐµÄÆ½¾ùËÙ¶È´óС£¬Òò´ËÓУº

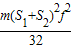
¶¯ÄܵÄÔöÁ¿Îª£º
=
¹Ê´ð°¸Îª£ºmg£¨S+S1£©£¬
£®
µãÆÀ£ºÖ½´øÎÊÌâµÄ´¦ÀíÊÇÁ¦Ñ§ÊµÑéÖг£¼ûµÄÎÊÌ⣬ÔÚÓÐÖ½´ø´¦ÀíʵÑéÖУ¬ÈôÖ½´ø×öÔȱäËÙÖ±ÏßÔ˶¯£¬²âµÃÖ½´øÉϵĵã¼ä¾à£¬ÀûÓÃÔȱäËÙÖ±ÏßÔ˶¯µÄÍÆÂÛ£¬¿É¼ÆËã³ö´ò³öijµãʱֽ´øÔ˶¯µÄ˲ʱËٶȺͼÓËÙ¶È£»ÒªÖªµÀÖØÎï´ø¶¯Ö½´øÏÂÂä¹ý³ÌÖÐÄÜÁ¿×ª»¯µÄ¹ý³ÌºÍÄÜÁ¿Êغ㣮
½â´ð£º½â£ºÖØÁ¦ÊÆÄܵļõСÁ¿µÈÓÚÖØÁ¦Ëù×ö¹¦µÄ´óС£¬Òò´ËÓУºW=mgx=mg£¨S+S1£©£»
¸ù¾ÝÔȱäËÙÖ±ÏßÔ˶¯ÖÐʱ¼äÖеãµÄ˲ʱËÙ¶È´óСµÈÓڸùý³ÌÖÐµÄÆ½¾ùËÙ¶È´óС£¬Òò´ËÓУº
¶¯ÄܵÄÔöÁ¿Îª£º
¹Ê´ð°¸Îª£ºmg£¨S+S1£©£¬
µãÆÀ£ºÖ½´øÎÊÌâµÄ´¦ÀíÊÇÁ¦Ñ§ÊµÑéÖг£¼ûµÄÎÊÌ⣬ÔÚÓÐÖ½´ø´¦ÀíʵÑéÖУ¬ÈôÖ½´ø×öÔȱäËÙÖ±ÏßÔ˶¯£¬²âµÃÖ½´øÉϵĵã¼ä¾à£¬ÀûÓÃÔȱäËÙÖ±ÏßÔ˶¯µÄÍÆÂÛ£¬¿É¼ÆËã³ö´ò³öijµãʱֽ´øÔ˶¯µÄ˲ʱËٶȺͼÓËÙ¶È£»ÒªÖªµÀÖØÎï´ø¶¯Ö½´øÏÂÂä¹ý³ÌÖÐÄÜÁ¿×ª»¯µÄ¹ý³ÌºÍÄÜÁ¿Êغ㣮
Á·Ï°²áϵÁдð°¸
Ïà¹ØÌâÄ¿