题目内容
物体通过两个连续相等位移的平均速度分别为
v1=10 m/s,v2=15 m/s,则物体在整个运动过程中的平均速度是A.
12.5 m/s
B.
12 m/s
C.
12.75 m/s
D.
11.75 m/s
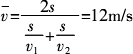
答案:B
解析:
解析:
|
由平均速度的定义可知 |
练习册系列答案
相关题目
物体通过两个连续相等的时间段里的平均速度分别为v1=10m/s,v2=15m/s,则物体在这整个过程中的平均速度是( )
| A、13.75m/s | B、12.5m/s | C、12m/s | D、11.75m/s |