题目内容

(6分)在“探究小车速度随时间变化规律”的实验时,某同学得到一条用打点计时器打下的纸带如图所示,并在其上取A、B、C、D、E、F、G等7个计数点,每相邻两个计数点间还有4个点,图中没有画出,打点计时器接周期为T=0.02s的低压交流电源。他经过测量和计算得到打点计时器打下B、C、D、E、F各点时小车的瞬时速度,记录在下面的表格中。

对应点

B

C

D

E

F

速度/ms-1

0.122

0.164

0.205

0.250

0.289

①计算打点计时器打下F点时,小车的瞬时速度的公式为 =_____________;

②根据上面得到的数据,以A点对应的时刻为t=0时刻,在坐标纸上作出小车的速度随时间变化的

图线;

③由图线求得小车的加速度=_______m/s2(结果保留两位有效数字)。

 

【答案】

          (2分)

② 如图所示            (2分)

③ 0.42               (2分.  0.41、0.43均给分)

【解析】

试题分析:①据中间时刻的瞬时速度等于这段时间内的平均速度,即

②如图所示: 先在坐标图中描点,描点时后用平滑直线连线,连线注意原则:让尽量多的点在直线上,不在直线上的点平均分布直线两侧。

③v-t图线的斜率大小表示加速度大小:

考点:本题考查用打点计时器测量小车加速度。

 

练习册系列答案
相关题目

(14分)(①、②每空3分,共9分;③5分)在“探究小车速度随时间变化的规律的实验中,打点计时器使用的交流电的频率为50Hz,记录小车运动的纸带如图所示在纸带上选择0、1、2、3、4、5共6个计数点,相邻两计数点之间还有四个点未画出,纸带旁并排放着带有最小分度为毫米的刻度尺,零刻度线跟“0”计数点对齐

 

 

 

 

 

 

 

 

 

 

 

 

 

 

 

 

 

 


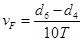
①、计算小车通过计数点“2”的瞬时速度公式为v2 =_____________(以d1、d2及相邻计数点间时间T来表示)代入得v2 =______m/s.(结果保留两位有效数字)。

②、加速度a=______(结果保留两位有效数字)。

③、在《探究加速度与力、质量的关系》实验中.

(1)某组同学用如图所示装置,采用控制变量的方法,来研究小车质量不变的情况下,小车的加速度与小车受到力的关系。下列措施中不需要和不正确的是:(      )(3分)

A.首先要平衡摩擦力,使小车受到合力就是细绳对小车的拉力。

B.平衡摩擦力的方法就是,在塑料小桶中添加砝码,使小车能匀速滑动。

C.每次改变拉小车拉力后都需要重新平衡摩擦力

D.实验中通过在塑料桶中增加砝码来改变小车受到的拉力

E. 实验中应先放小车,然后再开打点计时器的电源

(2)某组同学实验得出数据,画出a-F图像如右图所示,那么该组同学实验中出现的问题可能是(    )(2分)

A.实验中摩擦力没有平衡  

B.实验中摩擦力平衡过度

C.实验中绳子拉力方向没有跟平板平行  

D.实验中小车质量发生变化

评卷人

得分

 

 

 

(14分)(①、②每空3分,共9分;③5分)在“探究小车速度随时间变化的规律的实验中,打点计时器使用的交流电的频率为50Hz,记录小车运动的纸带如图所示在纸带上选择0、1、2、3、4、5共6个计数点,相邻两计数点之间还有四个点未画出,纸带旁并排放着带有最小分度为毫米的刻度尺,零刻度线跟“0”计数点对齐

 

 
 
 


 
①、计算小车通过计数点“2”的瞬时速度公式为v2 =_____________(以d1、d2及相邻计数点间时间T来表示)代入得v2 =______m/s.(结果保留两位有效数字)。
②、加速度a=______(结果保留两位有效数字)。
③、在《探究加速度与力、质量的关系》实验中.
(1)某组同学用如图所示装置,采用控制变量的方法,来研究小车质量不变的情况下,小车的加速度与小车受到力的关系。下列措施中不需要和不正确的是:(     )(3分)
A.首先要平衡摩擦力,使小车受到合力就是细绳对小车的拉力。
B.平衡摩擦力的方法就是,在塑料小桶中添加砝码,使小车能匀速滑动。
C.每次改变拉小车拉力后都需要重新平衡摩擦力
D.实验中通过在塑料桶中增加砝码来改变小车受到的拉力
E. 实验中应先放小车,然后再开打点计时器的电源
(2)某组同学实验得出数据,画出a-F图像如右图所示,那么该组同学实验中出现的问题可能是(    )(2分)
A.实验中摩擦力没有平衡  
B.实验中摩擦力平衡过度
C.实验中绳子拉力方向没有跟平板平行  
D.实验中小车质量发生变化
评卷人
得分
 
 

(14分)(①、②每空3分,共9分;③5分)在“探究小车速度随时间变化的规律的实验中,打点计时器使用的交流电的频率为50Hz,记录小车运动的纸带如图所示在纸带上选择0、1、2、3、4、5共6个计数点,相邻两计数点之间还有四个点未画出,纸带旁并排放着带有最小分度为毫米的刻度尺,零刻度线跟“0”计数点对齐

 

 

 

 

 

 

 

 

 

 

 

 

 

 

 

 

 

 


①、计算小车通过计数点“2”的瞬时速度公式为v2 =_____________(以d1、d2及相邻计数点间时间T来表示)代入得v2 =______m/s.(结果保留两位有效数字)。

②、加速度a=______(结果保留两位有效数字)。

③、在《探究加速度与力、质量的关系》实验中.

(1)某组同学用如图所示装置,采用控制变量的方法,来研究小车质量不变的情况下,小车的加速度与小车受到力的关系。下列措施中不需要和不正确的是:(      )(3分)

A.首先要平衡摩擦力,使小车受到合力就是细绳对小车的拉力。

B.平衡摩擦力的方法就是,在塑料小桶中添加砝码,使小车能匀速滑动。

C.每次改变拉小车拉力后都需要重新平衡摩擦力

D.实验中通过在塑料桶中增加砝码来改变小车受到的拉力

E. 实验中应先放小车,然后再开打点计时器的电源

(2)某组同学实验得出数据,画出a-F图像如右图所示,那么该组同学实验中出现的问题可能是(    )(2分)

A.实验中摩擦力没有平衡  

B.实验中摩擦力平衡过度

C.实验中绳子拉力方向没有跟平板平行  

D.实验中小车质量发生变化

评卷人

得分

 

 

 

违法和不良信息举报电话:027-86699610 举报邮箱:58377363@163.com

精英家教网