题目内容

两人传球,手的高度相同,相距10m,球出手后,经2s被对方接到,求球的初速度和最大高度.

答案:11m/s;4.9m
解析:

11m/s4.9m

求解过程中不妨先画出草图,借以想象皮球的物理过程,要注意隐含条件的挖掘:水平位移即为两等高的手之间的距离,最高点处竖直方向速度为零.同时,要充分利用运动时间t来联系水平与竖直运动间关系.

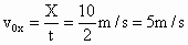
水平射程X=10m,由X=得,水平分速度:

到达最大高度所用时间:

则由得:

初速度的矢量和:

得:


练习册系列答案
相关题目

违法和不良信息举报电话:027-86699610 举报邮箱:58377363@163.com

精英家教网