题目内容

如图所示,在斜面顶端的A点以速度v平抛一小球,经t1时间落到斜面上B点处,若在A点将此小球以速度0.5v水平抛出,经t2时间落到斜面上的C点处,以下判断正确的是 (     ) 

A.AB :AC = 2 :1

B.AB :AC = 4 :1

C.t1  :t = 4 :1

D.t1  :t = :1

 

【答案】

B

【解析】

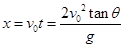
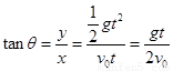
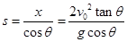
试题分析:物体做平抛运动,水平方向匀速直线运动,竖直方向自由落体运动。从斜面上抛出落在斜面上,如下图分析,则有。所以,因此答案CD错。水平位移,合位移是,所以,答案A错B对。

考点:斜面上的平抛运动

 

练习册系列答案
相关题目

违法和不良信息举报电话:027-86699610 举报邮箱:58377363@163.com

精英家教网