题目内容

如图所示,物块质量m=2 kg,斜面倾角为θ=30°.

求:(1)当斜面以a1=2 m/s2向右运动时绳的拉力多大?(F1=?)

(2)当斜面以a2=20 m/s2向右运动时绳的拉力多大?(F2=?)

答案:
解析:

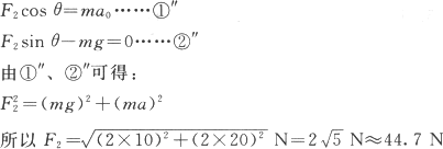
  设物块刚好对斜面无压力时斜面加速度为a0,物块受力情况如图所示,则:

  

  

  


练习册系列答案
相关题目

违法和不良信息举报电话:027-86699610 举报邮箱:58377363@163.com

精英家教网