题目内容
在交通事故的分析中,刹车线的长度是很重要的依据,刹车线是汽车刹车后停止转动的轮胎在地面上滑动时留下的痕迹.在某次交通事故中,汽车的刹车线长度是14m,设汽车轮胎与地面间的动摩擦因数为0.7,取g=10m/s2,则汽车开始刹车时的速度大小为( )A.7m/s
B.10m/s
C.14m/s
D.20m/s
【答案】分析:汽车刹车看作是匀减速直线运动,末速度为零,刹车加速度由滑动摩擦力提供,然后根据匀变速直线运动的位移-速度公式即可求解.
解答:解:刹车过程中由牛顿第二定律可得:mgμ=ma ①
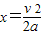
刹车位移为:
②
联立①②可解得:v=14m/s,故ABD错误,C正确.
故选C.
点评:本题比较简单,直接利用匀变速直线运动的位移-速度公式即可求解,匀减速直线运动,末速度为零,位移-速度公式可简化为
,a表示加速度大小,不含方向.
解答:解:刹车过程中由牛顿第二定律可得:mgμ=ma ①
刹车位移为:
联立①②可解得:v=14m/s,故ABD错误,C正确.
故选C.
点评:本题比较简单,直接利用匀变速直线运动的位移-速度公式即可求解,匀减速直线运动,末速度为零,位移-速度公式可简化为
练习册系列答案
相关题目