题目内容
某待测电阻Rx的阻值约为20Ω,现要测量其阻值,实验室提供器材如下:A.电流表A1(量程150mA,内阻约为10Ω)
B.电流表A2(量程20mA,内阻r2=30Ω)
C.电压表V(量程15V,内阻15kΩ)
D.定值电阻R=100Ω
E.滑动变阻器R,最大阻值约为10Ω
F.电源E,电动势E=9V(内阻不计)
G.电键S及导线若干
(1)测量时要求电表读数不得小于其量程的
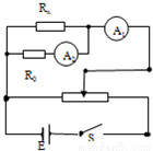
(2)请你在虚线框内画出测量Rx的实验原理图(图中元件使用题干中相应英文字母符号标注).
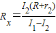
(3)实验时电流表A1的读数为I1,电流表A2的读数为I2,用已知的和测得的物理量表示Rx=______.(用字母表示)
【答案】分析:(1)实验需要电源、导线,然后根据题目要求选择电流表、电压表、滑动变阻器.
(2)根据实验原理及所选实验器材设计实验电路.
(3)根据电路结构、应用欧姆定律可以求出待测电阻阻值的表达式.
解答:解:(1)由于电源电动势为4V,电压表V量程为15V,达不到其量程的三分之一,故电压表不能使用;可用电流表A2与定值电阻R串联扩大其电压量程,当作电压表与电流表A1配合使用伏安法测量待测电阻阻值,由于改装的电压表内阻已知,故电流表A1采用外接法,改装的电压表电压量程为20mA×130Ω=2.6V,滑动变阻器最大阻值为5Ω,无法起到限流作用,故滑动变阻器采用分压式接法;经过估算当电流表
A1满偏时,电流表A2也正好满篇,非常匹配,因此满足电表读数不得小于量程的三分之一,故电表选择A、B.
(2)电流表A2与定值电阻R串联组成电压表,滑动变阻器采用分压接法,电流表采用外接法,实验电路图如图所示.

(3)待测电阻两端电压U=I2(R+r2),通过待测电阻的电流IX=I1-I2,待测电阻Rx=
=
,
故答案为:(1)AB
(2)如右图所示
(3)
点评:本题考查了实验器材的选取,实验器材的选取是本题的难点,也是正确解题的关键,选择实验器材时,既要符合题目要求,又要满足:安全性原则、精确性原则与方便实验操作性原则.
(2)根据实验原理及所选实验器材设计实验电路.
(3)根据电路结构、应用欧姆定律可以求出待测电阻阻值的表达式.
解答:解:(1)由于电源电动势为4V,电压表V量程为15V,达不到其量程的三分之一,故电压表不能使用;可用电流表A2与定值电阻R串联扩大其电压量程,当作电压表与电流表A1配合使用伏安法测量待测电阻阻值,由于改装的电压表内阻已知,故电流表A1采用外接法,改装的电压表电压量程为20mA×130Ω=2.6V,滑动变阻器最大阻值为5Ω,无法起到限流作用,故滑动变阻器采用分压式接法;经过估算当电流表
A1满偏时,电流表A2也正好满篇,非常匹配,因此满足电表读数不得小于量程的三分之一,故电表选择A、B.
(2)电流表A2与定值电阻R串联组成电压表,滑动变阻器采用分压接法,电流表采用外接法,实验电路图如图所示.
(3)待测电阻两端电压U=I2(R+r2),通过待测电阻的电流IX=I1-I2,待测电阻Rx=
故答案为:(1)AB
(2)如右图所示
(3)
点评:本题考查了实验器材的选取,实验器材的选取是本题的难点,也是正确解题的关键,选择实验器材时,既要符合题目要求,又要满足:安全性原则、精确性原则与方便实验操作性原则.
练习册系列答案
相关题目