题目内容

如图所示,匀强电场方向沿x轴的正方向,场强为E.在A(d0)点有一个静止的中性微粒,由于内部作用,某一时刻突然分裂成两个质量均为m的带电微粒,其中电荷量为q的微粒1沿y轴负方向运动,经过一段时间到达(0,-d)点.不计重力和分裂后两微粒间的作用.试求

(1)分裂时两个微粒各自的速度;

(2)当微粒1到达(0,-d)点时,电场力对微粒1做功的瞬间功率;

(3)当微粒1到达(0,-d)点时,两微粒间的距离.

答案:
解析:

  此题为带电粒子在电场中的运动.

  (1)微粒1y方向不受力,做匀速直线运动;在x方向由于受恒定的电场力,做匀加速直线运动.所以微粒1做的是类平抛运动.设微粒1分裂时的速度为v1,微粒2的速度为v2则有:

  在y方向上有

  -dv1t

  在x方向上有

  

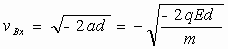
  -

  

  根号外的负号表示沿y轴的负方向.

  中性微粒分裂成两微粒时,遵守动量守恒定律,有

  

  

  方向沿y正方向.

  (2)设微粒1到达(0,-d)点时的速度为v,则电场力做功的瞬时功率为

  

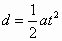
  其中由运动学公式

  所以

  (3)两微粒的运动具有对称性,如图所示,当微粒1到达(0,-d)点时发生的位移

  

  则当微粒1到达(0,-d)点时,两微粒间的距离为


练习册系列答案
相关题目

违法和不良信息举报电话:027-86699610 举报邮箱:58377363@163.com

精英家教网