题目内容
如图所示,质量相等的两个带电液滴1和2从水平方向的匀强电场中O点自由释放后,分别抵达B、C两点,若AB=BC,则它们带电荷量之比q1:q2等于( )A.1:2
B.2:1
C.1:
D.
【答案】分析:首先根据液滴在重力场和电场中的受力情况,判断出液滴在复合场中均做初速度为零的匀加速直线运动(在水平和竖直两个方向上均是初速度为零匀加速直线运动),作图画出两液滴的轨迹图,根据初速度为零的匀加速直线运动的位移公式即可求出两液滴的电量之比.
解答:
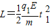
解:两个带电液滴在复合场中分别受到大小不变的电场力和重力(即各自的合力不变),又是由静止自由释放,可知两个液滴均做初速度为零的匀加速直线运动(在水平和竖直两个方向上均是初速度为零匀加速直线运动),运动轨迹如图所示,设OA的距离为L,设AB=BC=h,对液滴1:
水平方向上有:
…①
竖直方向上有:
…②
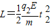
对液滴2:
水平方向上:
…③
竖直方向上有:
…④
①②③④式联立得:
选项B正确,ACD错误.
故选B.
点评:该题考察了带电粒子在正交的重力场和匀强电场中的运动,因带电粒子所受的重力和电场力不变,所以合力也不变,粒子的运动属于匀变速运动;当初速度的方向与二力的合力方向不在同一条直线时,粒子将做曲线运动,当初速度的方向与二力的合力的方向在一条直线上或初速度为零时,粒子将做匀加速直线运动.
解答:
水平方向上有:
竖直方向上有:
对液滴2:
水平方向上:
竖直方向上有:
①②③④式联立得:
选项B正确,ACD错误.
故选B.
点评:该题考察了带电粒子在正交的重力场和匀强电场中的运动,因带电粒子所受的重力和电场力不变,所以合力也不变,粒子的运动属于匀变速运动;当初速度的方向与二力的合力方向不在同一条直线时,粒子将做曲线运动,当初速度的方向与二力的合力的方向在一条直线上或初速度为零时,粒子将做匀加速直线运动.
练习册系列答案
相关题目
| A、摩擦力对A、B做功不相等 | B、A、B动能的增量相同 | C、F对A做的功与F对B做的功相等 | D、合外力对A做的功与合外力对B做的功相等 |
| A、A受到的合力总等于弹簧对B的弹力 | B、A受到的合力总大于弹簧对B的弹力 | C、A受到的摩擦力始终与弹簧对它的弹力方向相同 | D、A受到的摩擦力与弹簧对它的弹力方向有时相同,有时相反 |