题目内容
一电路如图所示,电源电动势E=28v,内阻r=2Ω,电阻R1=12Ω,R2=R4=4Ω,R3=8Ω,C为平行板电容器,其电容C=3.0pF,虚线到两极板距离相等,极板长L=0.20m,两极板的间距d=1.0×10-2m.(1)若开关S处于断开状态,则当其闭合后,求流过R4的总电量为多少?
(2)若开关S断开时,有一带电微粒沿虚线方向以=2.0m/s的初速度射入C的电场中,刚好沿虚线匀速运动,问:当开关S闭合后,此带电微粒以相同初速度沿虚线方向射入C的电场中,能否从C的电场中射出?(要求写出计算和分析过程,g取10m/s2)
【答案】分析:(1)当开关S断开时,电容器的电压等于电阻R3两端的电压,根据欧姆定律及串联电路电压的分配关系,利用比例法电容器的电压和电量.当S闭合后,电阻R2与R3串联后再与R1并联,电容器的电压等于电阻R3两端的电压,求出电容器的电量,再求出电容器电量的变化量,即为流过R4的总电量.
(2)开关S断开时带电油滴恰好静止在水平放置的平行金属板正中间,电场力与重力平衡,根据平衡条件得到重力与电场力的关系.S闭合时,根据牛顿第二定律求出加速度,由位移公式求出油滴到达极板的时间.然后根据侧向位移来确定是否能射出.
解答:解:(1)S断开时,电阻R3两端电压为
S闭合后,外阻为
端电压为
电阻R3两端电压为
则所求流过R4的总电量为
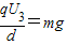
(2)设微粒质量为m,电量为q,当开关S断开时有:
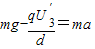
当开关S闭合后,设微粒加速度为a,则
设微粒能从C的电场中射出,则水平方向:
竖直方向:
由以上各式求得:
故微粒不能从C的电场中射出.
答:(1)若开关S处于断开状态,则当其闭合后,则流过R4的总电量为6×10-12C;
(2)若开关S断开时,有一带电微粒沿虚线方向以=2.0m/s的初速度射入C的电场中,刚好沿虚线匀速运动,问:当开关S闭合后,此带电微粒以相同初速度沿虚线方向射入C的电场中,不能从C的电场中射出.
点评:对于电容器,关键是确定其电压,当电路稳定时,电容器的电压等于与之并联的电路的电压,也等于所在电路两端的电压.
(2)开关S断开时带电油滴恰好静止在水平放置的平行金属板正中间,电场力与重力平衡,根据平衡条件得到重力与电场力的关系.S闭合时,根据牛顿第二定律求出加速度,由位移公式求出油滴到达极板的时间.然后根据侧向位移来确定是否能射出.
解答:解:(1)S断开时,电阻R3两端电压为
S闭合后,外阻为
端电压为
电阻R3两端电压为
则所求流过R4的总电量为
(2)设微粒质量为m,电量为q,当开关S断开时有:
当开关S闭合后,设微粒加速度为a,则
设微粒能从C的电场中射出,则水平方向:
竖直方向:
由以上各式求得:
故微粒不能从C的电场中射出.
答:(1)若开关S处于断开状态,则当其闭合后,则流过R4的总电量为6×10-12C;
(2)若开关S断开时,有一带电微粒沿虚线方向以=2.0m/s的初速度射入C的电场中,刚好沿虚线匀速运动,问:当开关S闭合后,此带电微粒以相同初速度沿虚线方向射入C的电场中,不能从C的电场中射出.
点评:对于电容器,关键是确定其电压,当电路稳定时,电容器的电压等于与之并联的电路的电压,也等于所在电路两端的电压.
练习册系列答案
相关题目