题目内容

如图所示,A、B质量分别为ml=1 ㎏,m2=2 kg,置于小车C上,小车质量m3=1 kg,A、B间粘有少量炸药,A、B与小车间的动摩擦因数均为0.5,小车静止在光滑水平上,菲炸药爆炸释放的能量有12 J转化为A、B的机械能,其余的转化为内能,A、B始终在小车表面水平运动,求:

(1)A、B开始运动的初速度;

(2)A、B在小车上滑行的时间.

答案:
解析:

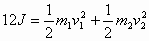
  (1)炸药爆炸瞬间A、B系统动量守恒(2分)

  A、B的机械能:(2分)

  得(2分)

  (2)炸药爆炸后,A、B分别以v1,v2在C上滑行,B先与C相对静止,设此时A的速度为v3,BC的速度为v4,该过程中A、B、C组成的系统动量守恒

  设经过的时间为tB,对A用动量定理有(1分)

  对B用动量定理有(1分)

  对C用动量定理有(1分)

  带入数值得(1分)

  之后,A在C上滑行直到与C相对静止,

  根据系统动量守恒,

  最后A的速度为0(1分)

  设A在C上滑行的总时间为tA,对A全过程用动量定理有:

  得(1分)


练习册系列答案
相关题目

违法和不良信息举报电话:027-86699610 举报邮箱:58377363@163.com

精英家教网