题目内容

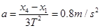
(4分)用接在50Hz交流电源上的打点计时器测定小车做匀加速直线运动的加速度,得到如图所示的一条纸带,从比较清晰的点开始起,取若干个计数点,分别标上0、1、2、3…(每相邻的两个计数点间有4个打印点未标出),量得0与1两点间的距离x1=30mm,3与4两点间的距离x4=54mm.,则小车在0与1两点间的平均速度为        m/s,小车的加速度为       m/s2

 

 

【答案】

0.3  0.8

【解析】

试题分析:每相邻的两个计数点间有4个打印点未标出,所以相邻的两个计数点间的时间间隔为;0与1之间的平均速度为;做匀变速直线运动过程中在相等时间内走过的位移差是一个定值,即根据逐差法可得,解得

考点:考查了测定小车做匀加速直线运动的加速度实验

 

练习册系列答案
相关题目

违法和不良信息举报电话:027-86699610 举报邮箱:58377363@163.com

精英家教网