ÌâÄ¿ÄÚÈÝ
ÓÐһƽÐаåµçÈÝÆ÷£¬ÄÚ²¿ÎªÕæ¿Õ£¬Á½¸öµç¼«°åµÄ¼ä¾àΪd£¬Ã¿Ò»¸öÕý·½Ðε缫°åµÄ³¤¾ùΪL£¬µçÈÝÆ÷ÄÚÓÐÒ»¾ùÔȵ糡£¬UΪÁ½¸öµç¼«°å¼äµÄµçѹ£¬Èçͼ¼×Ëùʾ£®µç×Ó´ÓµçÈÝÆ÷×ó¶ËµÄÕýÖÐÑëÒÔ³õËÙvÉäÈ룬Æä·½ÏòƽÐÐÓڵ缫°åÖ®Ò»±ß£¬²¢´òÔÚͼÉϵÄDµã£®µç×ӵĵçºÉÒÔ-e±íʾ£¬ÖÊÁ¿ÒÔm±íʾ£¬ÖØÁ¦¿É²»¼Æ£®»Ø´ðÏÂÃæ¸÷ÎÊÌ⣨ÓÃÒÑÖªÎïÀíµÄ×Öĸ±íʾ£©£¨1£©Çóµç×Ó´òµ½Dµã˲¼äµÄ¶¯ÄÜ£»
£¨2£©µç×ӵijõËÙvÖÁÉÙ±ØÐë´óÓÚºÎÖµ£¬µç×Ó²ÅÄܱܿªµç¼«°å£¬ÒݳöµçÈÝÆ÷Í⣿
£¨3£©ÈôµçÈÝÆ÷ÄÚûÓе糡£¬Ö»Óд¹Ö±½øÈëÖ½ÃæµÄ¾ùÔȴų¡£¬Æä´Å¸ÐӦǿ¶ÈΪB£¬µç×Ó´ÓµçÈÝÆ÷×ó¶ËµÄÕýÖÐÑëÒÔÆ½ÐÐÓڵ缫°åÒ»±ßµÄ³õËÙvÉäÈ룬ÈçͼÒÒËùʾ£¬Ôòµç×ӵijõËÙvΪºÎÖµ£¬µç×Ó²ÅÄܱܿªµç¼«°å£¬ÒݳöµçÈÝÆ÷Í⣿
¡¾´ð°¸¡¿·ÖÎö£º£¨1£©¼×ͼÖУ¬µç×ӵ糡ÖÐÆ«×ª¹ý³ÌÖУ¬µç³¡Á¦×ö¹¦e
£¬¸ù¾Ý¶¯Äܶ¨ÀíÇó½âµç×Ó´òµ½Dµã˲¼äµÄ¶¯ÄÜ£»
£¨2£©µç×ÓÔڵ糡ÖÐ×öÀàÆ½Å×Ô˶¯£¬Ë®Æ½·½Ïò×öÔÈËÙÖ±ÏßÔ˶¯£¬ÊúÖ±·½Ïò×÷³õËÙ¶ÈΪÁãµÄÔȼÓËÙÖ±ÏßÔ˶¯£®µ±µç×Ӹպôòµ½¼«°å±ßԵʱ£¬Ë®Æ½Î»ÒƵÈÓڰ峤L£¬ÊúÖ±Î»ÒÆµÈÓÚ
£¬¸ù¾ÝÔ˶¯µÄ·Ö½â·¨£¬ÓÉÅ£¶ÙµÚ¶þ¶¨ÂɺÍÔ˶¯Ñ§¹«Ê½½áºÏ¿ÉÇó´Ëʱµç×ӵijõËÙv£¬¼´Îªµç×ÓÄܱܿªµç¼«°å£¬ÒݳöµçÈÝÆ÷ÍâµÄ×îСËÙ¶È£®
£¨3£©ÈôµçÈÝÆ÷ÄÚûÓе糡£¬Ö»Óд¹Ö±½øÈëÖ½ÃæµÄ¾ùÔȴų¡£¬µç×ÓÔڴų¡ÖÐ×öÔÈËÙÔ²ÖÜÔ˶¯£¬µ±µç×ӸպôÓÏÂÓÒ±ßÔµ·É³ö´Å³¡Ê±ËÙ¶È×î´ó£¬µ±µç×Ó´Óϰå×ó±ßÔµ·É³ö´Å³¡Ê±ËÙ¶È×îС£¬Óɼ¸ºÎ֪ʶÇó³öµç×ӹ켣µÄ°ë¾¶£¬ÓÉÅ£¶ÙµÚ¶þ¶¨ÂÉÇó³öËÙ¶È£¬µÃµ½Ëٶȵķ¶Î§£®
½â´ð£º½â£º£¨1£©¼×ͼÖУ¬¸ù¾Ý¶¯Äܶ¨ÀíµÃ
e
=Ek-
½âµÃ£¬Ek=
£¨2£©Éèµç×Ӹպôòµ½¼«°å±ßԵʱµÄËÙ¶ÈΪv£¬Ôò
ÊúÖ±·½Ïò£º
ˮƽ·½Ïò£ºL=vt
ÓÖ¼ÓËÙ¶Èa=
ÁªÁ¢½âµÃ£¬v=
¹Êµç×ÓÒªÒݳöµçÈÝÆ÷Íâ±ØÓÐv£¾
£®
£¨3£©ÓÐÁ½ÖÖÇé¿ö
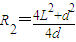
¢Ùµç×ӸպôÓϰå×ó±ßÔµ·É³ö´Å³¡Ê±£¬×ö°ëÔ²ÖÜÔ˶¯Æä°ë¾¶R1=
ÓÉ
µÃ£¬v1=
µç×ӱܿªµç¼«°åµÄÌõ¼þÊÇv1£¼
£®
¢Úµç×ӸպôÓÏÂÓÒ±ßÔµ·É³ö´Å³¡Ê±£¬Óɼ¸ºÎ֪ʶµÃ
=L2
½âµÃ£¬
Ôò v2=
=
µç×ӱܿªµç¼«°åµÄÌõ¼þÊÇv2£¾
£®
´ð£º
£¨1£©µç×Ó´òµ½Dµã˲¼äµÄ¶¯ÄÜÊÇ
£»
£¨2£©µç×ӵijõËÙvÖÁÉÙ±ØÐë´óÓÚ
£¬µç×Ó²ÅÄܱܿªµç¼«°å£¬ÒݳöµçÈÝÆ÷Í⣮
£¨3£©µç×ӱܿªµç¼«°åµÄÌõ¼þÊÇv1£¼
»òv2£¾
£®
µãÆÀ£º±¾ÌâÊǵ糡Óë´Å³¡Á½ÖÖÆ«×ªÑо¿·½·¨µÄ¶Ô±È£¬µç³¡ÖÐÔËÓÃÔ˶¯µÄ·Ö½â·¨£¬¶ø´Å³¡Öиù¾Ý¼¸ºÎ֪ʶÇó½â¹ì¼£°ë¾¶£¬ÓÉÅ£¶ÙµÚ¶þ¶¨ÂÉÇó½â£¬×¢ÒâÍÚ¾òÒþº¬µÄÁÙ½çÌõ¼þ£®
£¨2£©µç×ÓÔڵ糡ÖÐ×öÀàÆ½Å×Ô˶¯£¬Ë®Æ½·½Ïò×öÔÈËÙÖ±ÏßÔ˶¯£¬ÊúÖ±·½Ïò×÷³õËÙ¶ÈΪÁãµÄÔȼÓËÙÖ±ÏßÔ˶¯£®µ±µç×Ӹպôòµ½¼«°å±ßԵʱ£¬Ë®Æ½Î»ÒƵÈÓڰ峤L£¬ÊúÖ±Î»ÒÆµÈÓÚ
£¨3£©ÈôµçÈÝÆ÷ÄÚûÓе糡£¬Ö»Óд¹Ö±½øÈëÖ½ÃæµÄ¾ùÔȴų¡£¬µç×ÓÔڴų¡ÖÐ×öÔÈËÙÔ²ÖÜÔ˶¯£¬µ±µç×ӸպôÓÏÂÓÒ±ßÔµ·É³ö´Å³¡Ê±ËÙ¶È×î´ó£¬µ±µç×Ó´Óϰå×ó±ßÔµ·É³ö´Å³¡Ê±ËÙ¶È×îС£¬Óɼ¸ºÎ֪ʶÇó³öµç×ӹ켣µÄ°ë¾¶£¬ÓÉÅ£¶ÙµÚ¶þ¶¨ÂÉÇó³öËÙ¶È£¬µÃµ½Ëٶȵķ¶Î§£®
½â´ð£º½â£º£¨1£©¼×ͼÖУ¬¸ù¾Ý¶¯Äܶ¨ÀíµÃ
e
½âµÃ£¬Ek=
£¨2£©Éèµç×Ӹպôòµ½¼«°å±ßԵʱµÄËÙ¶ÈΪv£¬Ôò
ÊúÖ±·½Ïò£º
ˮƽ·½Ïò£ºL=vt
ÓÖ¼ÓËÙ¶Èa=
ÁªÁ¢½âµÃ£¬v=
¹Êµç×ÓÒªÒݳöµçÈÝÆ÷Íâ±ØÓÐv£¾
£¨3£©ÓÐÁ½ÖÖÇé¿ö
¢Ùµç×ӸպôÓϰå×ó±ßÔµ·É³ö´Å³¡Ê±£¬×ö°ëÔ²ÖÜÔ˶¯Æä°ë¾¶R1=
ÓÉ
µç×ӱܿªµç¼«°åµÄÌõ¼þÊÇv1£¼
¢Úµç×ӸպôÓÏÂÓÒ±ßÔµ·É³ö´Å³¡Ê±£¬Óɼ¸ºÎ֪ʶµÃ
½âµÃ£¬
Ôò v2=
µç×ӱܿªµç¼«°åµÄÌõ¼þÊÇv2£¾
´ð£º
£¨1£©µç×Ó´òµ½Dµã˲¼äµÄ¶¯ÄÜÊÇ
£¨2£©µç×ӵijõËÙvÖÁÉÙ±ØÐë´óÓÚ
£¨3£©µç×ӱܿªµç¼«°åµÄÌõ¼þÊÇv1£¼
µãÆÀ£º±¾ÌâÊǵ糡Óë´Å³¡Á½ÖÖÆ«×ªÑо¿·½·¨µÄ¶Ô±È£¬µç³¡ÖÐÔËÓÃÔ˶¯µÄ·Ö½â·¨£¬¶ø´Å³¡Öиù¾Ý¼¸ºÎ֪ʶÇó½â¹ì¼£°ë¾¶£¬ÓÉÅ£¶ÙµÚ¶þ¶¨ÂÉÇó½â£¬×¢ÒâÍÚ¾òÒþº¬µÄÁÙ½çÌõ¼þ£®
Á·Ï°²áϵÁдð°¸
Ïà¹ØÌâÄ¿