题目内容

如图所示,质量m=2kg、初速度v0=8m/s的物体沿着粗糙的水平面向右运动,物体与地面之间的动摩擦因素,同时物体还要受一个随时间变化如图所示的水平拉力F的作用,设水平向左为正方向。求2s内物体的位移。

 

 

【答案】

11m

【解析】

试题分析:0-1s内,对物体受力分析:

由牛顿第二定律可得:,得

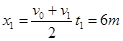
1s时速度  位移右移(5分)

1-2s内受力分析,由牛顿第二定律可得:,得

2s时速度为

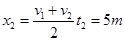
位置右移:(5分)

总位移为(2分)

方向向右(不写方向扣2分)。

考点:牛顿运动定律和直线运动。

 

练习册系列答案
相关题目

违法和不良信息举报电话:027-86699610 举报邮箱:58377363@163.com

精英家教网