题目内容

一个振荡电路中的电容C1=100pF,要求它产生波长λ1=30m的短波,电感量L1应为多少?如果在这个回路附近还有L2C2回路,其中L2=16μH,怎样使它与L1C1回路发生谐振?这时的C2和谐振频率多大?

 

答案:
解析:

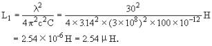
由L1C1回路固有频率公式和波长、波速关系式

  联立得电感量

  要求两回路谐振,应满足条件f1=f2,即

 


提示:

电磁波的发射与接收。

 


练习册系列答案
相关题目

违法和不良信息举报电话:027-86699610 举报邮箱:58377363@163.com

精英家教网