题目内容
在测定金属丝电阻率的实验中,如图甲所示,用螺旋测微器测得金属丝的直径d= mm.如图乙所示,用多用电表的“×l”欧姆挡,调零后测得金属丝阻值R= Ω,若实验中测出金属丝的长度为L,则该金属丝电阻率的表达式ρ= (用符号表示).
【答案】分析:螺旋测微器固定刻度与可动刻度的示数之和是螺旋测微器的示数;
欧姆表指针示数与倍率的乘积是欧姆表的示数;
根据实验所测数据,应用电阻定律可以求出金属丝的电阻率.
解答:解:(1)由图甲所示螺旋测微器可知,固定刻度示数为0.5mm,
可动刻度所示为23.0×0.01mm=0.230mm,螺旋测微器的示数为0.5mm+0.230mm=0.730mm.
(2)由图乙所示多用电表可知,金属丝电阻阻值R=20.0×1Ω=20.0Ω.
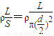
(3)金属丝电阻R=
,金属丝电阻率ρ=
故答案为:0.730; 20.0;
.
点评:螺旋测微器固定刻度与可动刻度的示数之和是螺旋测微器的示数,对螺旋测微器读数时要注意估读.
欧姆表指针示数与倍率的乘积是欧姆表的示数;
根据实验所测数据,应用电阻定律可以求出金属丝的电阻率.
解答:解:(1)由图甲所示螺旋测微器可知,固定刻度示数为0.5mm,
可动刻度所示为23.0×0.01mm=0.230mm,螺旋测微器的示数为0.5mm+0.230mm=0.730mm.
(2)由图乙所示多用电表可知,金属丝电阻阻值R=20.0×1Ω=20.0Ω.
(3)金属丝电阻R=
故答案为:0.730; 20.0;
点评:螺旋测微器固定刻度与可动刻度的示数之和是螺旋测微器的示数,对螺旋测微器读数时要注意估读.
练习册系列答案
相关题目