ÌâÄ¿ÄÚÈÝ
ÈçͼËùʾ£¬Ò»Á¾ÖÊÁ¿Îª1.5kgµÄС³µ¾²Ö¹ÔÚ¹â»¬Ë®Æ½ÃæÉÏ£¬Ò»¸öÖÊÁ¿Îª0.50kgµÄľ¿é£¬ÒÔ2.0m/sµÄËÙ¶Èˮƽ»¬ÉÏС³µ£¬×îºóÓëС³µÒÔÏàͬµÄËÙ¶ÈÔ˶¯£®Ð¡³µÉϱíÃæË®Æ½£¬Ä¾¿éÓë³µÉϱíÃæµÄ¶¯Ä¦²ÁÒòÊýÊÇ0.20£®gÈ¡10m/s2£¬Çó£¨1£©Ä¾¿éÓëС³µ¹²Í¬Ô˶¯µÄËٶȵĴóС£»
£¨2£©Ä¾¿éÔÚС³µÉÏÏà¶Ô»¬ÐеÄʱ¼ä£»
£¨3£©ÉèС³µÓë¹â»¬Ë®Æ½Ãæ×ã¹»³¤£¬ÈôË®Æ½ÃæÓÒ¶ËÒ²ÓÐÒ»¸ß¶ÈÓë×ó¶ËÒ»ÑùµÄƽ̨£¬ÇÒС³µÓëÁ½±ßƽ̨Åöײ¹ý³ÌÖоùûÓÐÄÜÁ¿Ëðʧ£¬Çó´Óľ¿é»¬ÉÏС³µ¿ªÊ¼µ½Ä¾¿éÓëС³µµÚn¹²Í¬Ô˶¯µÄʱ¼ä¼°Ä¾¿éÔÚС³µÉÏ»¬ÐеÄ·³Ì£®
¡¾´ð°¸¡¿·ÖÎö£º£¨1£©¸ù¾ÝÔ˶¯¹ý³ÌÖж¯Á¿Êغ㼴¿ÉÇó½â£»
£¨2£©¸ù¾Ý¶¯Á¿¶¨Àí¼´¿ÉÇó½â£»
£¨3£©·ÖMÓëmµÄ´óС¹ØÏµ·ÖÁ½ÖÖÇé¿ö½øÐÐÌÖÂÛ£¬¸ù¾Ý¶¯Á¿Êغ㶨Âɼ°¶¯Äܶ¨ÀíÇó³ö»¬¶¯Â·³ÌµÄͨÏ¸ù¾Ý¶¯Á¿¶¨ÀíÇó³öʱ¼äµÄͨÏÔÙ½áºÏÊýѧ֪ʶ¼´¿ÉÇó½â£®
½â´ð£º½â£º£¨1£©¸ù¾ÝÔ˶¯¹ý³ÌÖж¯Á¿ÊغãµÃ£º
mv=£¨M+m£©v1
½âµÃ£º
=0.5m/s
£¨2£©¸ù¾Ý¶¯Á¿¶¨ÀíµÃ£º
¦Ìmgt=Mv1-0
=0.75s
£¨3£©ÈôM£¾m£¬´ÓµÚÒ»´Îľ°åÒÔv1·´µ¯¿ªÊ¼£¬ÓÐ
Mv1-mv1=£¨M+m£©v2
Mv2-mv2=£¨M+m£©v3¡
Mvn-1-mvn-1=£¨M+m£©vn
½âµÃ£º


¡
=
¸ù¾Ý¶¯Äܶ¨ÀíµÃ£º


¡

½âµÃ£º




x2£¬x3£¬x4£¬¡xnÊÇÒ»¸öÊ×Ïî
µÄµÈ±ÈÊýÁУ¬¹²ÓÐn-1Ïî

=
=
=
=
ÔÚ°åÉÏ»¬ÐеÄʱ¼ä£¨²»°üº¬´Ó¹²ËÙÖÁÓëÆ½Ì¨ÅöײµÄʱ¼ä£©
-¦Ìmgt2=Mv2-Mv1
-¦Ìmgt3=Mv3-Mv2¡
-¦Ìmgtn=Mvn-Mvn-1

=
=
t2£¬t3£¬t4£¬¡tnÊÇÒ»¸öÊ×Ïî
¹«±ÈΪ
µÄµÈ±ÈÊýÁУ¬¹²ÓÐn-1Ïî
=
=
=
=
ͬÀí¿ÉµÃ£ºÈôM£¼m£¬
x2£¬x3£¬x4£¬¡xnÊÇÒ»¸öÊ×ÏîΪ
µÄµÈ±ÈÊýÁУ¬
¹²ÓÐn-1Ïî

=
=
=
=
ÔÚ°åÉÏ»¬ÐеÄʱ¼ä£¨²»°üº¬´Ó¹²ËÙÖÁÓëÆ½Ì¨ÅöײµÄʱ¼ä£©
-¦Ìmgt2=mv2-mv1
-¦Ìmgt3=mv3-mv2
¡
-¦Ìmgtn=mvn-mvn-1
v1
=
v1
ËùÒÔ
=
v1
t2£¬t3£¬t4£¬¡tnÊÇÒ»¸öÊ×Ïî
£¬¹«±ÈΪ
µÄµÈ±ÈÊýÁУ¬¹²ÓÐn-1Ïî
=
=
=
=
£®
´ð£º£¨1£©Ä¾¿éÓëС³µ¹²Í¬Ô˶¯µÄËٶȵĴóСΪ0.5m/s£»
£¨2£©Ä¾¿éÔÚС³µÉÏÏà¶Ô»¬ÐеÄʱ¼äΪ0.75s£»
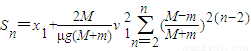
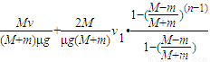
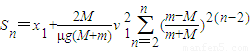
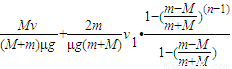
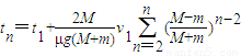
£¨3£©´Óľ¿é»¬ÉÏС³µ¿ªÊ¼µ½Ä¾¿éÓëС³µµÚn¹²Í¬Ô˶¯µÄʱ¼äΪ
»ò
£¬Ä¾¿éÔÚС³µÉÏ»¬ÐеÄ·³ÌΪ
»ò
£®
µãÆÀ£º±¾ÌâÖ÷Òª¿¼²éÁ˶¯Á¿Êغ㶨ÂÉ£¬¶¯Á¿¶¨Àí£¬¶¯Äܶ¨ÀíµÄÓ¦Ó㬵ÚÈýÎÊÒªÏÈÇó³öͨÏÔÙ½áºÏÊýѧ֪ʶÇó½â£¬ÄѶȺܴó£¬ÒªÇó½Ï¸ß£®
£¨2£©¸ù¾Ý¶¯Á¿¶¨Àí¼´¿ÉÇó½â£»
£¨3£©·ÖMÓëmµÄ´óС¹ØÏµ·ÖÁ½ÖÖÇé¿ö½øÐÐÌÖÂÛ£¬¸ù¾Ý¶¯Á¿Êغ㶨Âɼ°¶¯Äܶ¨ÀíÇó³ö»¬¶¯Â·³ÌµÄͨÏ¸ù¾Ý¶¯Á¿¶¨ÀíÇó³öʱ¼äµÄͨÏÔÙ½áºÏÊýѧ֪ʶ¼´¿ÉÇó½â£®
½â´ð£º½â£º£¨1£©¸ù¾ÝÔ˶¯¹ý³ÌÖж¯Á¿ÊغãµÃ£º
mv=£¨M+m£©v1
½âµÃ£º
£¨2£©¸ù¾Ý¶¯Á¿¶¨ÀíµÃ£º
¦Ìmgt=Mv1-0
£¨3£©ÈôM£¾m£¬´ÓµÚÒ»´Îľ°åÒÔv1·´µ¯¿ªÊ¼£¬ÓÐ
Mv1-mv1=£¨M+m£©v2
Mv2-mv2=£¨M+m£©v3¡
Mvn-1-mvn-1=£¨M+m£©vn
½âµÃ£º
¡
¸ù¾Ý¶¯Äܶ¨ÀíµÃ£º
¡
½âµÃ£º
x2£¬x3£¬x4£¬¡xnÊÇÒ»¸öÊ×Ïî
=
=
=
=
ÔÚ°åÉÏ»¬ÐеÄʱ¼ä£¨²»°üº¬´Ó¹²ËÙÖÁÓëÆ½Ì¨ÅöײµÄʱ¼ä£©
-¦Ìmgt2=Mv2-Mv1
-¦Ìmgt3=Mv3-Mv2¡
-¦Ìmgtn=Mvn-Mvn-1
t2£¬t3£¬t4£¬¡tnÊÇÒ»¸öÊ×Ïî
=
=
=
ͬÀí¿ÉµÃ£ºÈôM£¼m£¬
x2£¬x3£¬x4£¬¡xnÊÇÒ»¸öÊ×ÏîΪ
¹²ÓÐn-1Ïî
=
=
=
=
ÔÚ°åÉÏ»¬ÐеÄʱ¼ä£¨²»°üº¬´Ó¹²ËÙÖÁÓëÆ½Ì¨ÅöײµÄʱ¼ä£©
-¦Ìmgt2=mv2-mv1
-¦Ìmgt3=mv3-mv2
¡
-¦Ìmgtn=mvn-mvn-1
ËùÒÔ
t2£¬t3£¬t4£¬¡tnÊÇÒ»¸öÊ×Ïî
=
=
=
´ð£º£¨1£©Ä¾¿éÓëС³µ¹²Í¬Ô˶¯µÄËٶȵĴóСΪ0.5m/s£»
£¨2£©Ä¾¿éÔÚС³µÉÏÏà¶Ô»¬ÐеÄʱ¼äΪ0.75s£»
£¨3£©´Óľ¿é»¬ÉÏС³µ¿ªÊ¼µ½Ä¾¿éÓëС³µµÚn¹²Í¬Ô˶¯µÄʱ¼äΪ
µãÆÀ£º±¾ÌâÖ÷Òª¿¼²éÁ˶¯Á¿Êغ㶨ÂÉ£¬¶¯Á¿¶¨Àí£¬¶¯Äܶ¨ÀíµÄÓ¦Ó㬵ÚÈýÎÊÒªÏÈÇó³öͨÏÔÙ½áºÏÊýѧ֪ʶÇó½â£¬ÄѶȺܴó£¬ÒªÇó½Ï¸ß£®
Á·Ï°²áϵÁдð°¸
Ïà¹ØÌâÄ¿