题目内容
碘131核不稳定,会发生β衰变,其半衰变期为8天。
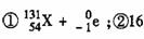
碘131核的衰变方程:________ (衰变后的元素用X表示)。经过________天 75%的碘131核发生了衰变。
碘131核不稳定,会发生β衰变,其半衰变期为8天.
(1)碘131核的衰变方程:→________(衰变后的元素用X表示).
(2)经过________天有75%的碘131核发生了衰变.