题目内容
一物体由静止开始做匀加速直线运动,运动位移为4m时立即改做匀减速直线运动直至静止.若物体运动的总位移为10m,全过程所用的时间为10s,求:(1)物体在加速阶段加速度的大小?
(2)物体在减速阶段加速度的大小?
(3)物体运动的最大速度?
【答案】分析:(1)设匀加速运动的末速度为v,然后根据平均速度公式
求出匀加速运动的位移
以及匀减速运动的位移
,根据总位移和总时间得出匀加速运动的末速度v,然后根据速度位移公式
,求出匀加速运动的加速度.
(2)根据速度位移公式
,求出匀减速运动的加速度.
(3)物体先加速后减速,匀加速运动的末速度即为运动的最大速度.
解答:解:(1)设匀加速运动的末速度为v,根据平均速度公式,匀加速运动的位移
匀减速运动的位移
总位移
=
所以v=
.
根据匀变速直线运动的速度位移公式
,得
故物体在加速阶段的加速度大小为0.5m/s2.
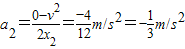
(2)根据匀变速直线运动的速度位移公式
,得
故减速阶段的加速度大小为
.
(3)物体先加速后减速,匀加速运动的末速度即为运动的最大速度.
所以物体的最大速度为2m/s.
点评:解决本题的关键掌握匀变速直线运动的平均速度公式
,本题用平均速度的方法解决比较方便.
(2)根据速度位移公式
(3)物体先加速后减速,匀加速运动的末速度即为运动的最大速度.
解答:解:(1)设匀加速运动的末速度为v,根据平均速度公式,匀加速运动的位移
匀减速运动的位移
总位移
所以v=
根据匀变速直线运动的速度位移公式
故物体在加速阶段的加速度大小为0.5m/s2.
(2)根据匀变速直线运动的速度位移公式
故减速阶段的加速度大小为
(3)物体先加速后减速,匀加速运动的末速度即为运动的最大速度.
所以物体的最大速度为2m/s.
点评:解决本题的关键掌握匀变速直线运动的平均速度公式
练习册系列答案
相关题目