题目内容
(1)求卫星B的运行周期.
(2)如卫星B绕行方向与地球自转方向相同,某时刻A、B两卫星相距最近(O、B、A在同一直线上),则至少经过多长时间,他们再一次相距最近?
【答案】分析:研究卫星绕地球做匀速圆周运动,根据万有引力提供向心力,列出等式表示出周期.
卫星A、B绕地球做匀速圆周运动,当卫星B转过的角度与卫星A转过的角度之差等于2π时,卫星再一次相距最近.
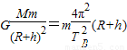
解答:解:(1)设地球质量为M,卫星质量为m,根据万有引力和牛顿运动定律,有:

在地球表面有:
联立得:
.
(2)它们再一次相距最近时,一定是B比A多转了一圈,有:
ωBt-ωt=2π
其中
得:
.
答:(1)卫星B的运行周期是
;
(2)至少经过
,它们再一次相距最近.
点评:本题考查万有引力定律和圆周运动知识的综合应用能力.
向心力的公式选取要根据题目提供的已知物理量或所求解的物理量选取应用.
卫星A、B绕地球做匀速圆周运动,当卫星B转过的角度与卫星A转过的角度之差等于2π时,卫星再一次相距最近.
解答:解:(1)设地球质量为M,卫星质量为m,根据万有引力和牛顿运动定律,有:
在地球表面有:
联立得:
(2)它们再一次相距最近时,一定是B比A多转了一圈,有:
ωBt-ωt=2π
其中
答:(1)卫星B的运行周期是
(2)至少经过
点评:本题考查万有引力定律和圆周运动知识的综合应用能力.
向心力的公式选取要根据题目提供的已知物理量或所求解的物理量选取应用.
练习册系列答案
相关题目