题目内容
在用自由落体运动验证机械能守恒定律时,某同学按照正确的操作选得纸带如测图4-6.其中O点是起始点,A、B、C是打点计时器连续打下的三个点,该同学用毫米刻度尺测量O点到A、B、C各点的距离,并记录在图中(单位cm).已知打点计时器电源频率为50Hz,重锤质量为m=2kg,当地重力加速度g=9.80m/s2(1)用公式mv2/2=mgh时,对纸带上起始点的要求是______,为此目的,所选择的纸带一、二两点间距应接近______.mm
(2)根据上图所得数据,取O点到B点的运动过程来验证机械能守恒定律,该段过程重锤重力势能的减小量为______J,物体从O点到B点过程动能的增加量为______J(均保留三位有效数字).这样他发现重力势能的减小量______(填“大于”或“小于”)动能的增加量,造成这一误差的原因是______.
(3)根据纸带算出相关各点的速度υ,量出下落距离h,则以V2为纵轴,以h为横轴画出的图线应是如下图中的______.
【答案】分析:(1)根据h=
求出纸带一、二两点间距.
(2)根据重力做功求出重力势能的减小量,根据某段时间内的平均速度等于中间时刻的瞬时速度求出B点的速度,从而求出动能的增加量.比较动能增加量和重力势能减小量的大小关系.
(3)根据机械能守恒定律得出
与h的关系式,确定正确的图象.
解答:解:(1)用公式
=mgh时,对纸带上起始点的要求是纸带的第一个点O为纸带的起始点.根据h=
,所以选择的纸带一、二两点间距应接近2mm的.
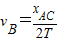
(2)O点到B点的运动过程中,重力势能的减小量△Ep=mgh=2×9.80×0.1242J≈2.43J.B点的速度
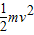
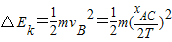
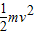
.则动能的增加量
≈2.40J.重力势能的减小量大于动能的增加量.原因是重锤拉着纸带落下时受到了阻力.
(3)根据机械能守恒得,mgh=
,则
,知
与h成正比.故选C.
故答案为:(1)纸带的第一个点O为纸带的起始点,2mm
(2)2.43 J,2.40J,大于;重锤拉着纸带落下时受到了阻力 (3)C
点评:解决本题的关键知道实验的原理,以及知道误差形成的原因.
(2)根据重力做功求出重力势能的减小量,根据某段时间内的平均速度等于中间时刻的瞬时速度求出B点的速度,从而求出动能的增加量.比较动能增加量和重力势能减小量的大小关系.
(3)根据机械能守恒定律得出
解答:解:(1)用公式
(2)O点到B点的运动过程中,重力势能的减小量△Ep=mgh=2×9.80×0.1242J≈2.43J.B点的速度
(3)根据机械能守恒得,mgh=
故答案为:(1)纸带的第一个点O为纸带的起始点,2mm
(2)2.43 J,2.40J,大于;重锤拉着纸带落下时受到了阻力 (3)C
点评:解决本题的关键知道实验的原理,以及知道误差形成的原因.
练习册系列答案
相关题目